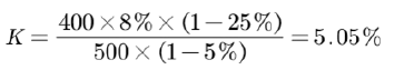
某公司发行总面额 400 万元的 5 年期债券,发行价格为 500 万元,票面利率为 8%,发行费率为 5%,公司所得税率为25%,发行该债券的成本率为( )。
本题考查的是资金成本的计算。债券溢价发行成本的计算。

根据《招标投标法实施条例》,依法必须进行招标的项目可以不进行招标的情形是()。
建设工程项目采用Partnering模式的特点有( )。
根据《工程造价咨询企业管理办法》,工程造价咨询企业可被处1万元以上3万元以下罚款的情形是( )。
关于Partnering模式的说法,正确的是( )。
下列工程中,属于分部工程的是( )
根据我国《价格法》,制定关系群众切身利益的公用事业价格、公益性服务价格、自然垄断经营的商品价格时,应当建立( )制度。
根据《建筑法》,获取施工许可证后因故不能按期开工的,建设单位应当申请延期,延期的规定是( )。
判断合同是否成立的依据是( )。
根据《国务院关于投资体制改革的决定》,对于采用贷款贴息方式的政府投资项目,政府需要审批( )。
根据《建设工程质量管理条例》,建设工程的保修期自( )之日起计算。