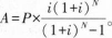
设某船的资本成本为P,预计租赁Ⅳ年、收益率为i,则船舶每年租赁费A为( )。

本题考查年金法的运用。租金的计算经常采用的是每年资本费用或年金法。每年资本费用或年金法是用现金流量贴现技术确定每年的资本成本,将现金支出在船舶使用年限中进行分摊。这一方法的设计思想是使出租人在租赁期间的每年成本相同,据以确定应收租金额。其计算方法如下:设某船舶的资本成本为P,预计租赁Ⅳ年,预计收益率为i,则该船舶每年租赁费A为:
下列关于工程监理单位和监理人员职责的表述中,正确的是()。
政府为了保护农业生产者,对部分农业产品规定了保护价格。为了采取这种价格政策, 应采取相应的措施是( )。
下列选项中,项目监理机构可设置总监理工程师代表的情形有( )。
下列比率指标的不同类型中,流动比率属于( )。
一般来说,( )的产品需求弹性较小。
科斯定理认为,外部性之所以存在并且导致资源配置失当,在多数情况下是因为( )。
直线制监理组织形式的主要特点是()。
隐蔽性通货膨胀发生时,物价总体水平( )。
凯恩斯主义认为人们的货币需求不稳定,因而货币政策应是()。
我国税收收入中的主体税种是( )。