当前位置:首页 → 财会类 → 中级经济师 → 中级建筑与房地产经济->某拟建生产性项目,设计年产量800万件。采用生产能力指数法估
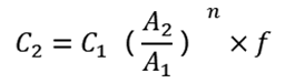
某拟建生产性项目,设计年产量800万件。采用生产能力指数法估算其投资,参考一近年建成的生产相同产品的项目。该项目年产量650万件,投资额24000万元。根据建设地点与时期的不同,取综合调整系数f=1.15;生产规模比值在0.5~2时,生产能力指数取n=1。在此情况下,拟建项目的投资估算金额为( )万元。

下列关于工程监理单位和监理人员职责的表述中,正确的是()。
政府为了保护农业生产者,对部分农业产品规定了保护价格。为了采取这种价格政策, 应采取相应的措施是( )。
下列选项中,项目监理机构可设置总监理工程师代表的情形有( )。
下列比率指标的不同类型中,流动比率属于( )。
一般来说,( )的产品需求弹性较小。
科斯定理认为,外部性之所以存在并且导致资源配置失当,在多数情况下是因为( )。
直线制监理组织形式的主要特点是()。
隐蔽性通货膨胀发生时,物价总体水平( )。
凯恩斯主义认为人们的货币需求不稳定,因而货币政策应是()。
我国税收收入中的主体税种是( )。