当前位置:首页 → 建筑工程 → 注册土木工程师(水利水电) → 基础知识->

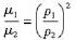
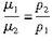
由理想气体状态方程pV=(M/μ)RT,得μ=(MRT)/(pV),故当V1=V2,T1=T2,M1=M2时,μ1/μ2=p2/p1。









