当前位置:首页建筑工程公用设备工程师(暖通空调+动力)基础知识->

(暖通空调+动力)基础知识,专项训练,基础知识(暖通空调+动力)考题

  • A.见图A
  • B.见图B
  • C.见图C
  • D.见图D
答案: D
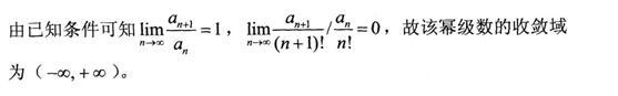
本题解析:

(暖通空调+动力)基础知识,专项训练,基础知识(暖通空调+动力)考题

更新时间:2022-08-26 23:34
纠错

你可能感兴趣的试题

单选题

(暖通空调+动力)基础知识,章节练习,公用设备工程师《基础知识》(暖通空调+动力)数学

  • A.x-z-2=0
  • B.x+z=0
  • C.x-2y+z=0
  • D.x+y+z=1
查看答案
单选题

(暖通空调+动力)基础知识,章节练习,公用设备工程师《基础知识》(暖通空调+动力)数学

  • A.0.6
  • B.0.7
  • C.0.8
  • D.0.9
查看答案
单选题

(暖通空调+动力)基础知识,章节练习,公用设备工程师《基础知识》(暖通空调+动力)数学

  • A.<img src='http://tp.mxqe.com/data/740/13579373_0_1.jpg' alt='(暖通空调+动力)基础知识,章节练习,公用设备工程师《基础知识》(暖通空调+动力)数学' title='(暖通空调+动力)基础知识,章节练习,公用设备工程师《基础知识》(暖通空调+动力)数学'>
  • B.<img src='http://tp.mxqe.com/data/740/13579373_0_2.jpg' alt='(暖通空调+动力)基础知识,章节练习,公用设备工程师《基础知识》(暖通空调+动力)数学' title='(暖通空调+动力)基础知识,章节练习,公用设备工程师《基础知识》(暖通空调+动力)数学'>
  • C.<img src='http://tp.mxqe.com/data/740/13579373_0_3.jpg' alt='(暖通空调+动力)基础知识,章节练习,公用设备工程师《基础知识》(暖通空调+动力)数学' title='(暖通空调+动力)基础知识,章节练习,公用设备工程师《基础知识》(暖通空调+动力)数学'>
  • D.<img src='http://tp.mxqe.com/data/740/13579373_0_4.jpg' alt='(暖通空调+动力)基础知识,章节练习,公用设备工程师《基础知识》(暖通空调+动力)数学' title='(暖通空调+动力)基础知识,章节练习,公用设备工程师《基础知识》(暖通空调+动力)数学'>
查看答案
单选题

(暖通空调+动力)基础知识,章节练习,公用设备工程师《基础知识》(暖通空调+动力)数学

  • A.用洛必达法则后,求得极限为0
  • B.<img src='http://tp.mxqe.com/data/740/13579372_0_1.jpg' alt='(暖通空调+动力)基础知识,章节练习,公用设备工程师《基础知识》(暖通空调+动力)数学' title='(暖通空调+动力)基础知识,章节练习,公用设备工程师《基础知识》(暖通空调+动力)数学'>
  • C.<img src='http://tp.mxqe.com/data/740/13579372_0_2.jpg' alt='(暖通空调+动力)基础知识,章节练习,公用设备工程师《基础知识》(暖通空调+动力)数学' title='(暖通空调+动力)基础知识,章节练习,公用设备工程师《基础知识》(暖通空调+动力)数学'>
  • D.因为不能用洛必达法则,故极限不存在
查看答案
单选题

(暖通空调+动力)基础知识,章节练习,公用设备工程师《基础知识》(暖通空调+动力)数学

  • A.<img src='http://tp.mxqe.com/data/740/13579371_0_1.jpg' alt='(暖通空调+动力)基础知识,章节练习,公用设备工程师《基础知识》(暖通空调+动力)数学' title='(暖通空调+动力)基础知识,章节练习,公用设备工程师《基础知识》(暖通空调+动力)数学'>
  • B.<img src='http://tp.mxqe.com/data/740/13579371_0_2.jpg' alt='(暖通空调+动力)基础知识,章节练习,公用设备工程师《基础知识》(暖通空调+动力)数学' title='(暖通空调+动力)基础知识,章节练习,公用设备工程师《基础知识》(暖通空调+动力)数学'>
  • C.<img src='http://tp.mxqe.com/data/740/13579371_0_3.jpg' alt='(暖通空调+动力)基础知识,章节练习,公用设备工程师《基础知识》(暖通空调+动力)数学' title='(暖通空调+动力)基础知识,章节练习,公用设备工程师《基础知识》(暖通空调+动力)数学'>
  • D.<img src='http://tp.mxqe.com/data/740/13579371_0_4.jpg' alt='(暖通空调+动力)基础知识,章节练习,公用设备工程师《基础知识》(暖通空调+动力)数学' title='(暖通空调+动力)基础知识,章节练习,公用设备工程师《基础知识》(暖通空调+动力)数学'>
查看答案
单选题

(暖通空调+动力)基础知识,章节练习,公用设备工程师《基础知识》(暖通空调+动力)数学

  • A.β是A的属于特征值0的特征向量
  • B.α是A的属于特征值0的特征向量
  • C.β是A的属于特征值2的特征向量
  • D.α是A的属于特征值2的特征向量
查看答案
单选题

(暖通空调+动力)基础知识,章节练习,公用设备工程师《基础知识》(暖通空调+动力)数学

  • A.2
  • B.1
  • C.0
  • D.不存在
查看答案
单选题

(暖通空调+动力)基础知识,章节练习,公用设备工程师《基础知识》(暖通空调+动力)数学

  • A.<img src='http://tp.mxqe.com/data/740/13579368_0_1.jpg' alt='(暖通空调+动力)基础知识,章节练习,公用设备工程师《基础知识》(暖通空调+动力)数学' title='(暖通空调+动力)基础知识,章节练习,公用设备工程师《基础知识》(暖通空调+动力)数学'>
  • B.<img src='http://tp.mxqe.com/data/740/13579368_0_2.jpg' alt='(暖通空调+动力)基础知识,章节练习,公用设备工程师《基础知识》(暖通空调+动力)数学' title='(暖通空调+动力)基础知识,章节练习,公用设备工程师《基础知识》(暖通空调+动力)数学'>
  • C.<img src='http://tp.mxqe.com/data/740/13579368_0_3.jpg' alt='(暖通空调+动力)基础知识,章节练习,公用设备工程师《基础知识》(暖通空调+动力)数学' title='(暖通空调+动力)基础知识,章节练习,公用设备工程师《基础知识》(暖通空调+动力)数学'>
  • D.<img src='http://tp.mxqe.com/data/740/13579368_0_4.jpg' alt='(暖通空调+动力)基础知识,章节练习,公用设备工程师《基础知识》(暖通空调+动力)数学' title='(暖通空调+动力)基础知识,章节练习,公用设备工程师《基础知识》(暖通空调+动力)数学'>
查看答案
单选题

(暖通空调+动力)基础知识,章节练习,公用设备工程师《基础知识》(暖通空调+动力)数学

  • A.<img src='http://tp.mxqe.com/data/740/13579367_0_1.jpg' alt='(暖通空调+动力)基础知识,章节练习,公用设备工程师《基础知识》(暖通空调+动力)数学' title='(暖通空调+动力)基础知识,章节练习,公用设备工程师《基础知识》(暖通空调+动力)数学'>
  • B.<img src='http://tp.mxqe.com/data/740/13579367_0_2.jpg' alt='(暖通空调+动力)基础知识,章节练习,公用设备工程师《基础知识》(暖通空调+动力)数学' title='(暖通空调+动力)基础知识,章节练习,公用设备工程师《基础知识》(暖通空调+动力)数学'>
  • C.1
  • D.2
查看答案
单选题

(暖通空调+动力)基础知识,章节练习,公用设备工程师《基础知识》(暖通空调+动力)数学

  • A.<img src='http://tp.mxqe.com/data/740/13579365_0_1.jpg' alt='(暖通空调+动力)基础知识,章节练习,公用设备工程师《基础知识》(暖通空调+动力)数学' title='(暖通空调+动力)基础知识,章节练习,公用设备工程师《基础知识》(暖通空调+动力)数学'>
  • B.<img src='http://tp.mxqe.com/data/740/13579365_0_2.jpg' alt='(暖通空调+动力)基础知识,章节练习,公用设备工程师《基础知识》(暖通空调+动力)数学' title='(暖通空调+动力)基础知识,章节练习,公用设备工程师《基础知识》(暖通空调+动力)数学'>
  • C.<img src='http://tp.mxqe.com/data/740/13579365_0_3.jpg' alt='(暖通空调+动力)基础知识,章节练习,公用设备工程师《基础知识》(暖通空调+动力)数学' title='(暖通空调+动力)基础知识,章节练习,公用设备工程师《基础知识》(暖通空调+动力)数学'>
  • D.<img src='http://tp.mxqe.com/data/740/13579365_0_4.jpg' alt='(暖通空调+动力)基础知识,章节练习,公用设备工程师《基础知识》(暖通空调+动力)数学' title='(暖通空调+动力)基础知识,章节练习,公用设备工程师《基础知识》(暖通空调+动力)数学'>
查看答案