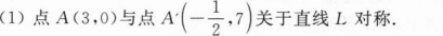
当前位置:首页学历类研究生入学管理类联考综合->直线L的方程为x-2y+8=0.(2)直线2x-y+1=0关

直线L的方程为x-2y+8=0.

管理类联考综合,章节练习,管理类联考综合

(2)直线2x-y+1=0关于直线x-y+3=0的对称直线为L.

  • A.条件(1)充分,但条件(2)不充分
  • B.条件(2)充分,但条件(1)不充分
  • C.条件(1)和(2)单独都不充分,但条件(1)和(2)联合起来充分
  • D.条件(1)充分,条件(2)也充分
  • E.条件(1)和(2)单独都不充分,条件(1)和(2)联合起来也不充分
答案: B
本题解析:

管理类联考综合,章节练习,管理类联考综合

管理类联考综合,章节练习,管理类联考综合

更新时间:2022-08-26 04:14
纠错

你可能感兴趣的试题

单选题

在社会规范学习与道德品质发展的研究中,班都拉(ABandura)等心理学家的研究重点是

  • A.道德认识
  • B.道德情感
  • C.道德意志
  • D.道德行为
查看答案
单选题

雅各宾派也被称为()

  • A.沼泽派
  • B.平等派
  • C.忿激派
  • D.山岳派
查看答案
问答题

数学二,章节练习,高等数学

查看答案
问答题

数学二,章节练习,高等数学

查看答案
问答题

数学二,章节练习,高等数学

查看答案
问答题

数学二,章节练习,高等数学

查看答案
问答题

数学二,章节练习,高等数学

查看答案
问答题

数学二,章节练习,高等数学

查看答案
问答题

数学二,章节练习,高等数学

查看答案
问答题

数学二,章节练习,高等数学

查看答案