当前位置:首页学历类研究生入学管理类联考综合->若对任意x∈R,不等式|x|≥ax恒成立,则实数a的取值范围

若对任意x∈R,不等式|x|≥ax恒成立,则实数a的取值范围是( )

  • A.a<-1
  • B.|a|≤1
  • C.|a|<1
  • D.a≥1
  • E.以上答案均不正确
答案: B
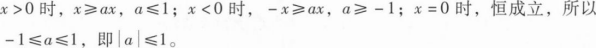
本题解析:

管理类联考综合,章节练习,管理类联考综合

更新时间:2022-09-04 14:13
纠错

你可能感兴趣的试题

单选题

在社会规范学习与道德品质发展的研究中,班都拉(ABandura)等心理学家的研究重点是

  • A.道德认识
  • B.道德情感
  • C.道德意志
  • D.道德行为
查看答案
单选题

雅各宾派也被称为()

  • A.沼泽派
  • B.平等派
  • C.忿激派
  • D.山岳派
查看答案
问答题

数学二,章节练习,高等数学

查看答案
问答题

数学二,章节练习,高等数学

查看答案
问答题

数学二,章节练习,高等数学

查看答案
问答题

数学二,章节练习,高等数学

查看答案
问答题

数学二,章节练习,高等数学

查看答案
问答题

数学二,章节练习,高等数学

查看答案
问答题

数学二,章节练习,高等数学

查看答案
问答题

数学二,章节练习,高等数学

查看答案