当前位置:首页学历类研究生入学管理类联考综合->已知f(x)=x3-2x2+ax+b除以x2-x-2的余式为

已知f(x)=x3-2x2+ax+b除以x2-x-2的余式为2x+1,则a,b的值为( ).

  • A.a=1,b=-1
  • B.a=-3,b=1
  • C.a=-2,b=3
  • D.a=1,b=3
  • E.a=-3,b=-1
答案: D
本题解析:

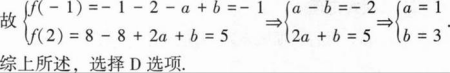
f(x)=x3-2x2+ax+b=(x2-x-2)p(x)+2x+1=(x+1)(x-2)p(x)+2x+1,

管理类联考综合,章节练习,管理类联考综合

更新时间:2022-08-17 05:18
纠错

你可能感兴趣的试题

单选题

在社会规范学习与道德品质发展的研究中,班都拉(ABandura)等心理学家的研究重点是

  • A.道德认识
  • B.道德情感
  • C.道德意志
  • D.道德行为
查看答案
单选题

雅各宾派也被称为()

  • A.沼泽派
  • B.平等派
  • C.忿激派
  • D.山岳派
查看答案
问答题

数学二,章节练习,高等数学

查看答案
问答题

数学二,章节练习,高等数学

查看答案
问答题

数学二,章节练习,高等数学

查看答案
问答题

数学二,章节练习,高等数学

查看答案
问答题

数学二,章节练习,高等数学

查看答案
问答题

数学二,章节练习,高等数学

查看答案
问答题

数学二,章节练习,高等数学

查看答案
问答题

数学二,章节练习,高等数学

查看答案