当前位置:首页学历类研究生入学管理类联考综合->甲、乙两人做游戏,轮流闯关,规定甲先进行且先过关的获胜,一直

甲、乙两人做游戏,轮流闯关,规定甲先进行且先过关的获胜,一直到有人获胜或每人耗尽3次机会而结束。设甲闯关成功的概率为管理类联考综合,章节练习,管理类联考综合,乙闯关成功的概率为管理类联考综合,章节练习,管理类联考综合。每次闯关互不影响,则甲最终获胜的概率为( )。

管理类联考综合,章节练习,管理类联考综合

  • A.见图A
  • B.见图B
  • C.见图C
  • D.见图D
答案: D
本题解析:

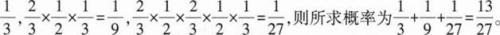
根据题意,甲闯关成功分为三种情况:甲过关;甲不过关一乙不过关一甲过关;甲不过关一乙不过关一甲不过关一乙不过关一甲过关。其概率分别为

管理类联考综合,章节练习,管理类联考综合

更新时间:2022-08-16 18:09
纠错

你可能感兴趣的试题

单选题

在社会规范学习与道德品质发展的研究中,班都拉(ABandura)等心理学家的研究重点是

  • A.道德认识
  • B.道德情感
  • C.道德意志
  • D.道德行为
查看答案
单选题

雅各宾派也被称为()

  • A.沼泽派
  • B.平等派
  • C.忿激派
  • D.山岳派
查看答案
问答题

数学二,章节练习,高等数学

查看答案
问答题

数学二,章节练习,高等数学

查看答案
问答题

数学二,章节练习,高等数学

查看答案
问答题

数学二,章节练习,高等数学

查看答案
问答题

数学二,章节练习,高等数学

查看答案
问答题

数学二,章节练习,高等数学

查看答案
问答题

数学二,章节练习,高等数学

查看答案
问答题

数学二,章节练习,高等数学

查看答案