当前位置:首页学历类研究生入学管理类联考综合->如图所示,半球内有一内接正方体,正方体的一个面在半球的底面圆

如图所示,半球内有一内接正方体,正方体的一个面在半球的底面圆内,若正方体棱长为管理类联考综合,章节练习,管理类联考综合,则半球的表面积和体积分别是( )。

管理类联考综合,章节练习,管理类联考综合

  • A.27π,18π
  • B.27π,16π
  • C.22π,27π
  • D.18π,27π
  • E.21π,18π
答案: A
本题解析:

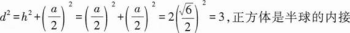
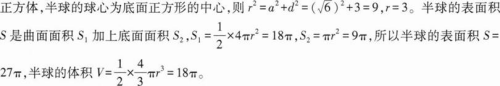
根据题意可设半球的半径为r,正方体边长为a,h和d分别为底面正方形中心到边和到顶点的距离,如图所示,由勾股定理得管理类联考综合,章节练习,管理类联考综合

管理类联考综合,章节练习,管理类联考综合

管理类联考综合,章节练习,管理类联考综合

更新时间:2022-08-22 12:21
纠错

你可能感兴趣的试题

单选题

在社会规范学习与道德品质发展的研究中,班都拉(ABandura)等心理学家的研究重点是

  • A.道德认识
  • B.道德情感
  • C.道德意志
  • D.道德行为
查看答案
单选题

雅各宾派也被称为()

  • A.沼泽派
  • B.平等派
  • C.忿激派
  • D.山岳派
查看答案
问答题

数学二,章节练习,高等数学

查看答案
问答题

数学二,章节练习,高等数学

查看答案
问答题

数学二,章节练习,高等数学

查看答案
问答题

数学二,章节练习,高等数学

查看答案
问答题

数学二,章节练习,高等数学

查看答案
问答题

数学二,章节练习,高等数学

查看答案
问答题

数学二,章节练习,高等数学

查看答案
问答题

数学二,章节练习,高等数学

查看答案