当前位置:首页学历类研究生入学管理类联考综合->

管理类联考综合,章节练习,管理类联考综合

  • A.2
  • B.3
  • C.4
  • D.5
  • E.6
答案: A
本题解析:

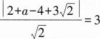
圆的圆心为(2,a),半径为5,弦长的一半为4,则根据勾股定理(如图所示),圆心到直线的距离为3,即管理类联考综合,章节练习,管理类联考综合,则a=2或管理类联考综合,章节练习,管理类联考综合,已知a>0,因此a的值为2。

管理类联考综合,章节练习,管理类联考综合

更新时间:2022-08-08 20:56
纠错

你可能感兴趣的试题

单选题

在社会规范学习与道德品质发展的研究中,班都拉(ABandura)等心理学家的研究重点是

  • A.道德认识
  • B.道德情感
  • C.道德意志
  • D.道德行为
查看答案
单选题

雅各宾派也被称为()

  • A.沼泽派
  • B.平等派
  • C.忿激派
  • D.山岳派
查看答案
问答题

数学二,章节练习,高等数学

查看答案
问答题

数学二,章节练习,高等数学

查看答案
问答题

数学二,章节练习,高等数学

查看答案
问答题

数学二,章节练习,高等数学

查看答案
问答题

数学二,章节练习,高等数学

查看答案
问答题

数学二,章节练习,高等数学

查看答案
问答题

数学二,章节练习,高等数学

查看答案
问答题

数学二,章节练习,高等数学

查看答案