当前位置:首页学历类成人高考文科数学->已知直线在x轴上的截距为-1,在y轴上的截距为1,又抛物线y

已知直线在x轴上的截距为-1,在y轴上的截距为1,又抛物线y=x2+bx+c的顶点坐标为(2,-8),求直线和抛物线两个交点横坐标的平方和.

答案:
本题解析:

文科数学,押题密卷,2022年成人高等考试《文科数学》(高升本)押题密卷

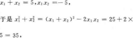
设直线与抛物线两交点的横坐标为x1和x2,则

文科数学,押题密卷,2022年成人高等考试《文科数学》(高升本)押题密卷

即直线与抛物线两交点的横坐标的平方和为35.

更新时间:2022-08-03 13:04
纠错

你可能感兴趣的试题

问答题

文科数学,章节练习,文科数学专科真题

查看答案
问答题

文科数学,章节练习,文科数学专科真题

查看答案
问答题

文科数学,章节练习,文科数学专科真题

查看答案
问答题

文科数学,章节练习,文科数学专科真题

查看答案
问答题

文科数学,章节练习,文科数学专科真题

文科数学,章节练习,文科数学专科真题

查看答案
问答题

文科数学,章节练习,文科数学专科真题

查看答案
问答题

文科数学,章节练习,文科数学专科真题

查看答案
问答题

文科数学,章节练习,文科数学专科真题

查看答案
问答题

文科数学,章节练习,文科数学专科真题

查看答案
问答题

文科数学,章节练习,文科数学专科真题

查看答案