当前位置:首页学历类成人高考文科数学->在△ABC中,a,b,c分别为∠A,∠B,∠C的对边边长,已

在△ABC中,a,b,c分别为∠A,∠B,∠C的对边边长,已知(a+b+c)(b+c-a)=3bc,则∠A=___.

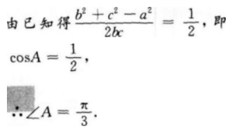
答案:
本题解析:

本题主要考查的知识点为余弦定理.

文科数学,押题密卷,2022年成人高等考试《文科数学》(高升本)押题密卷

更新时间:2022-08-26 07:50
纠错

你可能感兴趣的试题

问答题

文科数学,章节练习,文科数学专科真题

查看答案
问答题

文科数学,章节练习,文科数学专科真题

查看答案
问答题

文科数学,章节练习,文科数学专科真题

查看答案
问答题

文科数学,章节练习,文科数学专科真题

查看答案
问答题

文科数学,章节练习,文科数学专科真题

文科数学,章节练习,文科数学专科真题

查看答案
问答题

文科数学,章节练习,文科数学专科真题

查看答案
问答题

文科数学,章节练习,文科数学专科真题

查看答案
问答题

文科数学,章节练习,文科数学专科真题

查看答案
问答题

文科数学,章节练习,文科数学专科真题

查看答案
问答题

文科数学,章节练习,文科数学专科真题

查看答案