当前位置:首页学历类成人高考文科数学->已知函数(x)=ax2+b的图像经过点(1,2)且其反函数-

已知函数(x)=ax2+b的图像经过点(1,2)且其反函数-1(x)的图像经过点(3,0),则函数(x)的解析式是( )

  • A.文科数学,章节练习,文科数学模拟
  • B.(x)=-x2+3
  • C.(x)=3x2+2
  • D.(x)=x2+3
答案: B
本题解析:

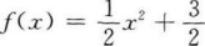
【考情点拨】本题主要考查的知识点为反函数的性质. 【应试指导】∵(x)的反函数-1(x)过(3,O),所以(x)又过点(0,3)所以有(1)=2,

文科数学,章节练习,文科数学模拟

更新时间:2022-08-23 02:05
纠错

你可能感兴趣的试题

问答题

文科数学,章节练习,文科数学专科真题

查看答案
问答题

文科数学,章节练习,文科数学专科真题

查看答案
问答题

文科数学,章节练习,文科数学专科真题

查看答案
问答题

文科数学,章节练习,文科数学专科真题

查看答案
问答题

文科数学,章节练习,文科数学专科真题

文科数学,章节练习,文科数学专科真题

查看答案
问答题

文科数学,章节练习,文科数学专科真题

查看答案
问答题

文科数学,章节练习,文科数学专科真题

查看答案
问答题

文科数学,章节练习,文科数学专科真题

查看答案
问答题

文科数学,章节练习,文科数学专科真题

查看答案
问答题

文科数学,章节练习,文科数学专科真题

查看答案