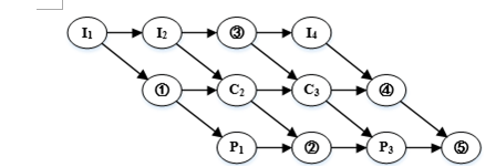
假设某计算机系统中只有一个 CPU 、一台输入设备和一台输出设备,若系统中有四个作业 T1 、 T2 、 T3 和 T4 ,系统采用优先级调度,且 T1 优先级 小于T2 优先级 小于T3 优先级 小于T4 优先级。每个作业 Ti 具有三个程序段:输入 Ii 、计算 Ci 和输出 Pi ( i=1 , 2 , 3 , 4 ),其执行顺序为 Ii → Ci → Pi 。 这四个作业各程序段并发执行前驱图如下所示。图中①、②分别为( )

略题目告诉我们一共有3个设备,分别是一个CPU、一台输入设备和一台输出设备,其实输入设备对应程序段输入Ii,而CPU对应程序段计算Ci,输出设备对应程序段输出Pi。而每个作业都分为这三段,各段间有个顺序关系。再结合图中已经给出结点,我们不难发现,第一行是输入,第二行是计算,而第三行结点数输出结点。因此可以知道①、②分别为C1、P3,③、④、⑤分别为I3、C4、P4。









