当前位置:首页计算机类软件水平考试中级软件设计师->前趋图是一个有向无环图,记为→={pi,pj,pi完成时间先

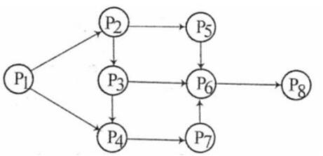
前趋图是一个有向无环图,记为→={pi,pj,pi完成时间先于pj开始时间}。假设系统中进P={p1,p2,p3,p4,p5,p6,p7,p8},且进程前趋图如下。下列说法正确是()

中级软件设计师,章节练习,基础复习,中级软件设计师基础

  • A.存在着十个前驱关系。p1为初始节点。p2p4为终止节点
  • B.存在着两个前驱关系。p6为初始节点,p2p4为终止节点
  • C.存在着九个前驱关系。p6为初始节点,p8为终止节点
  • D.存在着十个前驱关系。p1为初始节点,p8为终止节点
答案: D
本题解析:

共有10对前驱关系,P1为初始节点,P8为终止节点。

更新时间:2022-07-16 15:20
纠错

你可能感兴趣的试题

单选题

高级系统分析师,专项练习,软件水平考试《高级系统分析师》押题

  • A.V(S2)和P(S4)
  • B.P(S2)和V(S4)
  • C.P(S2)和P(S4)
  • D.V(S2)和V(S4)
查看答案
单选题

高级系统分析师,专项练习,软件水平考试《高级系统分析师》押题

  • A.V(S1)P(S2)和V(S3)
  • B.P(S1)V(S2)和V(S3)
  • C.V(S1)V(S2)和V(S3)
  • D.P(S1)P(S2)和V(S3)
查看答案
单选题

高级系统分析师,专项练习,软件水平考试《高级系统分析师》押题

  • A.P(S4)和V(S4)V(S5)
  • B.V(S5)和P(S4)P(S5)
  • C.V(S3)和V(S4)V(S5)
  • D.P(S3)和P(S4)V(P5)
查看答案
单选题

高级系统分析师,专项练习,软件水平考试《高级系统分析师》押题

  • A.P(S3)和V(S4)V(S5)
  • B.V(S3)和P(S4)P(S5)
  • C.P(S3)和P(S4)P(S5)
  • D.V(S3)和V(S4)V(S5)
查看答案
单选题

高级系统分析师,专项练习,软件水平考试《高级系统分析师》押题

  • A.P(S2)和P(S4)
  • B.P(S2)和V(S4)
  • C.V(S2)和P(S4)
  • D.V(S2)和V(S4)
查看答案
单选题

高级系统分析师,专项练习,软件水平考试《高级系统分析师》押题

  • A.V(S1)、P(S1)和V(S2)V(S3)
  • B.P(S1)、V (S1)和V(S2)V(S3)
  • C.V(S1)、V(S2)和P(S1)V(S3)
  • D.P(S1)、V(S2)和V(S1)V(S3)
查看答案
单选题

高级系统分析师,专项练习,软件水平考试《高级系统分析师》押题

  • A.序列图
  • B.状态图
  • C.通信图
  • D.活动图
查看答案
单选题

高级系统分析师,专项练习,软件水平考试《高级系统分析师》押题

  • A.合并分叉
  • B.分支
  • C.合并汇合
  • D.流
查看答案
单选题

高级系统分析师,专项练习,软件水平考试《高级系统分析师》押题

  • A.产甲2套,乙3套
  • B.生产甲1套,乙4套
  • C.生产甲3套,乙4套
  • D.生产甲4套,乙2套
查看答案
单选题

高级系统分析师,专项练习,软件水平考试《高级系统分析师》押题

  • A.见图A
  • B.见图B
  • C.见图C
  • D.见图D
查看答案