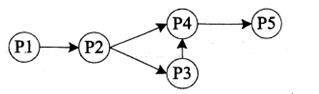
进程P1、P2 、P3、P4 和P5前趋图如下所示:

若用PV操作控制进程P1、P2、P3、P4和P5并发执行过程,需要设置5个信号量S1、S2、S3、S4和S5,且信号量S1~S5初值都等于零。如下进程执行图中a和b处应分别填写( );c和d处应分别填写(请作答此空 ) ;e和f处应分别填写( ) 。

图中有五条箭线,因此需要设置五个信号量,按照从小到大顺序分别是:P1→P2是S1,P2→P3是S2,P2→P4是S3,P3→P4是S4,P4→P5是S5。每个进程开始时候执行P操作(P1没有P操作,只有V操作),结束时候执行V操作,如P2开始时候执行P(S1)操作,结束时执行V(S2)操作。其他同理。









