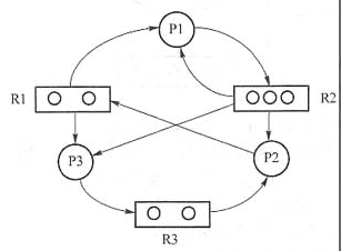
当前位置:首页计算机类软件水平考试中级软件设计师->在如下所示进程资源图中(请在此空作答);该进程资源图是()。

在如下所示进程资源图中(请在此空作答 ) ;该进程资源图是 ( ) 。

中级软件设计师,章节练习,基础复习,中级软件设计师基础

  • A.P1、P2、P3都是阻塞节点
  • B.P1是阻塞节点,P2、P3是非阻塞节点
  • C.P1、P2是阻塞节点,P3是非阻塞节点
  • D.P1、P2是非阻塞节点,P3是阻塞节点
答案: C
本题解析:

R1已经全部分配给P1和P3,所以P2再请求一个R1时候,将进入阻塞状态。同理,R2已经全部分配给P1、P2和P3,当P1再请求一个R2时,将陷入阻塞。R3还有一个未用资源,当P3申请时,可以顺利获得,故不会阻塞。

更新时间:2022-07-20 16:52
纠错

你可能感兴趣的试题

单选题

高级系统分析师,专项练习,软件水平考试《高级系统分析师》押题

  • A.V(S2)和P(S4)
  • B.P(S2)和V(S4)
  • C.P(S2)和P(S4)
  • D.V(S2)和V(S4)
查看答案
单选题

高级系统分析师,专项练习,软件水平考试《高级系统分析师》押题

  • A.V(S1)P(S2)和V(S3)
  • B.P(S1)V(S2)和V(S3)
  • C.V(S1)V(S2)和V(S3)
  • D.P(S1)P(S2)和V(S3)
查看答案
单选题

高级系统分析师,专项练习,软件水平考试《高级系统分析师》押题

  • A.P(S4)和V(S4)V(S5)
  • B.V(S5)和P(S4)P(S5)
  • C.V(S3)和V(S4)V(S5)
  • D.P(S3)和P(S4)V(P5)
查看答案
单选题

高级系统分析师,专项练习,软件水平考试《高级系统分析师》押题

  • A.P(S3)和V(S4)V(S5)
  • B.V(S3)和P(S4)P(S5)
  • C.P(S3)和P(S4)P(S5)
  • D.V(S3)和V(S4)V(S5)
查看答案
单选题

高级系统分析师,专项练习,软件水平考试《高级系统分析师》押题

  • A.P(S2)和P(S4)
  • B.P(S2)和V(S4)
  • C.V(S2)和P(S4)
  • D.V(S2)和V(S4)
查看答案
单选题

高级系统分析师,专项练习,软件水平考试《高级系统分析师》押题

  • A.V(S1)、P(S1)和V(S2)V(S3)
  • B.P(S1)、V (S1)和V(S2)V(S3)
  • C.V(S1)、V(S2)和P(S1)V(S3)
  • D.P(S1)、V(S2)和V(S1)V(S3)
查看答案
单选题

高级系统分析师,专项练习,软件水平考试《高级系统分析师》押题

  • A.序列图
  • B.状态图
  • C.通信图
  • D.活动图
查看答案
单选题

高级系统分析师,专项练习,软件水平考试《高级系统分析师》押题

  • A.合并分叉
  • B.分支
  • C.合并汇合
  • D.流
查看答案
单选题

高级系统分析师,专项练习,软件水平考试《高级系统分析师》押题

  • A.产甲2套,乙3套
  • B.生产甲1套,乙4套
  • C.生产甲3套,乙4套
  • D.生产甲4套,乙2套
查看答案
单选题

高级系统分析师,专项练习,软件水平考试《高级系统分析师》押题

  • A.见图A
  • B.见图B
  • C.见图C
  • D.见图D
查看答案