所示结构中各杆的EA、EI值均相同。在外力P作用下。A、B两点竖向位移关系正确的是( )。

解法一:B结点为T形结点,无荷载作用,因此AB杆为零杆,即AB杆不会产生轴向变形,所以A、B点竖向相对位移为0,即ΔA=ΔB。
解法二:首先桁架在外力P作用下各杆的轴力为:NAB=0,
,
。求A点的竖向位移,在A点施加一个竖直向下的单位力,各杆轴力为:
,
,
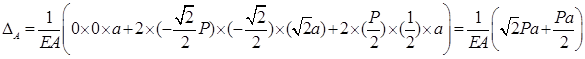
。求B点的竖向位移,在B点施加一个竖直向下的单位力,各杆轴力为:
,
,
。根据图乘法:


故ΔA=ΔB。
建设项目的实际造价是( )。








