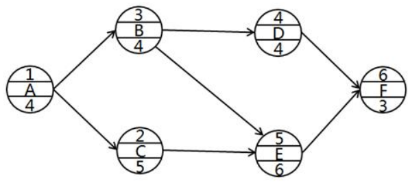
(2019年真题)某工程的网络计划如下图所示(时间单位为天),图中工作B和E之间、工作C和E之间的时间间隔分别是( )天。

2022/2021版教材P56
本题考查的是单代号网络计划时间参数的计算。相邻两项工作之间的时间间隔是指其紧后工作的最早开始时间与本工作最早完成时间的差值,即:LAGi,j=ESj-EFi。E工作的最早开始时间为9天,B工作的最早完成时间为8天,LAGB,E=9-8=1(天);C工作的最早完成时间为9天,LAGC,E=9-9=0(天)
在常用的工程质量控制的统计方法中,可以用来系统整理分析某个质量问题及其产生原因之间关系的方法是( )。
某工程进度计划执行过程中,发现某工作出现了进度偏差。经分析该偏差仅对后续工作有影响而对总工期无影响。则该偏差值应()。
监理单位在工程勘察阶段提供相关服务时,向建设单位提交的工程勘察成果评估报告中应包括的内容有( )
在建设工程进度控制措施中,对建设单位提出应急赶工给予赶工费用补偿的属于()措施。
关于建设工程网络计划技术特征的说法,正确的有()。
建设工程组织非节奏流水施工的特点有( )。
工程建设过程中,形成工程实体质量的阶段是()阶段。
下列建设工程进度影响因素中,属于业主因素的有( )。
工程建设的不同阶段对工程项目质量的形成起着不同的作用和影响,决定工程质量的关键阶段是( )。
根据网络计划时间参数计算得出的工期称为()。