当前位置:首页建筑工程注册环保工程师注册环保工程师公共基础->

注册环保工程师公共基础,章节练习,基础复习,公共基础巩固

  • A.见图A
  • B.见图B
  • C.见图C
  • D.见图D
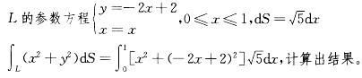
答案: D
本题解析:

提示 利用已知两点求出直线方程L:y=-2x+2,

注册环保工程师公共基础,章节练习,基础复习,公共基础巩固

更新时间:2022-06-18 13:04
纠错

你可能感兴趣的试题

单选题

注册环保工程师公共基础,章节练习,基础复习,公共基础强化

  • A.5.4
  • B.5.6
  • C.7.4
  • D.7.6
查看答案
单选题

注册环保工程师公共基础,章节练习,基础复习,公共基础强化

  • A.F1
  • B.F2
  • C.F3
  • D.F1、F2和F3
查看答案
单选题

注册环保工程师公共基础,章节练习,基础复习,公共基础强化

  • A.<14%
  • B.14%~15%
  • C.15%~16%
  • D.>16%
查看答案
单选题

注册环保工程师公共基础,章节练习,基础复习,公共基础强化

  • A.5.67
  • B.3.67
  • C.4.55
  • D.6.78
查看答案
单选题

注册环保工程师公共基础,章节练习,基础复习,公共基础强化

  • A.111001100.100011001
  • B.111001100.10001101
  • C.111001100.100011011
  • D.111001100.10001111
查看答案
单选题

注册环保工程师公共基础,章节练习,基础复习,公共基础强化

  • A.356.123
  • B.356.126
  • C.353.126
  • D.353.123
查看答案
单选题

注册环保工程师公共基础,章节练习,基础复习,公共基础强化

  • A.<img src='http://tp.mxqe.com/data/233/16867785_0_1.jpg' alt='注册环保工程师公共基础,章节练习,基础复习,公共基础强化' title='注册环保工程师公共基础,章节练习,基础复习,公共基础强化'>
  • B.<img src='http://tp.mxqe.com/data/233/16867785_0_2.jpg' alt='注册环保工程师公共基础,章节练习,基础复习,公共基础强化' title='注册环保工程师公共基础,章节练习,基础复习,公共基础强化'>
  • C.<img src='http://tp.mxqe.com/data/233/16867785_0_3.jpg' alt='注册环保工程师公共基础,章节练习,基础复习,公共基础强化' title='注册环保工程师公共基础,章节练习,基础复习,公共基础强化'>
  • D.<img src='http://tp.mxqe.com/data/233/16867785_0_4.jpg' alt='注册环保工程师公共基础,章节练习,基础复习,公共基础强化' title='注册环保工程师公共基础,章节练习,基础复习,公共基础强化'>
查看答案
单选题

注册环保工程师公共基础,章节练习,基础复习,公共基础强化

  • A.5E5.19A
  • B.5E5.195
  • C.5D5.19A
  • D.5D5.195
查看答案
单选题

注册环保工程师公共基础,章节练习,基础复习,公共基础强化

  • A.1101011000000.0110101
  • B.1101011000000.01101111
  • C.1101011000000.0110111
  • D.1101011000000.01101101
查看答案
单选题

注册环保工程师公共基础,章节练习,基础复习,公共基础强化

  • A.0
  • B.0.43
  • C.0.75
  • D.-0.86
查看答案