当前位置:首页建筑工程注册结构工程师结构专业基础考试一级->图示简支梁,B端转角位移θB大小为(  )。

图示简支梁,B端转角位移θB大小为(  )。

结构专业基础考试一级,历年真题,2021年一级注册结构工程师《专业基础》真题

结构专业基础考试一级,历年真题,2021年一级注册结构工程师《专业基础》真题

  • A.见图A
  • B.见图B
  • C.见图C
  • D.见图D
答案: D
本题解析:

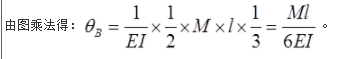
采用单位荷载法结合图乘法计算。在截面B处施加一个单位力偶,分别作出单位力偶和外荷载作用下的弯矩图,如图所示。

结构专业基础考试一级,专项练习,一级注册结构工程师《专业基础》真题

结构专业基础考试一级,专项练习,一级注册结构工程师《专业基础》真题

更新时间:2022-04-25 20:51
纠错

你可能感兴趣的试题

单选题

假定氧气的热力学温度提高1倍,氧分子全部离解为氧原子,则氧原子的平均速率是氧分子平均速率的多少倍?

  • A.4 倍
  • B.2 倍 <img src='http://tp.mxqe.com/data/212/2835733_0.jpg' alt='结构基础考试一级,章节练习,一级注册结构工程师《公共基础考试》普通物理(巩固)' title='结构基础考试一级,章节练习,一级注册结构工程师《公共基础考试》普通物理(巩固)'>
  • C.见图C
  • D.见图D
查看答案
单选题

以下结论中哪一个是正确的?

  • A.若方阵A的行列式 A =0,则A=0
  • B.若 A2=0,则 A=0
  • C.若A为对称阵,则A2也是对称阵
  • D.对任意的同阶方阵A.B有(A+B)(A-B)=A2-B2
查看答案
单选题

结构专业考试二级,章节练习,结构专业考试二级押题

  • A.156、71
  • B.249、7
  • C.216、7
  • D.203、1
查看答案
单选题

结构专业考试二级,章节练习,结构专业考试二级押题

  • A.9<24
  • B.9<18
  • C.8、4<24
  • D.7、1<8
查看答案
单选题

结构专业考试二级,章节练习,结构专业考试二级押题

  • A.99
  • B.83
  • C.92
  • D.76
查看答案
单选题

结构专业基础考试一级,章节练习,结构专业基础考试一级押题

  • A.291.6kPa
  • B.353.8kPa
  • C.376.9kPa
  • D.402.7kPa
查看答案
单选题

结构专业基础考试一级,章节练习,结构专业基础考试一级押题

  • A.加粗箍筋直径
  • B.减小箍筋间距
  • C.加大梁截面尺寸
  • D.加配弯起钢筋
查看答案
单选题

结构专业基础考试一级,章节练习,结构专业基础考试一级押题

结构专业基础考试一级,章节练习,结构专业基础考试一级押题

  • A.见图A
  • B.见图B
  • C.见图C
  • D.见图D
查看答案
单选题

结构专业基础考试一级,章节练习,结构专业基础考试一级押题

结构专业基础考试一级,章节练习,结构专业基础考试一级押题

  • A.见图A
  • B.见图B
  • C.见图C
  • D.见图D
查看答案
单选题

结构专业基础考试一级,章节练习,结构专业基础考试

结构专业基础考试一级,章节练习,结构专业基础考试

  • A.1∶1
  • B.1∶(-1)
  • C.1∶2
  • D.1∶(-2)
查看答案