当前位置:首页建筑工程公用设备工程师(暖通空调+动力)基础知识->

(暖通空调+动力)基础知识,历年真题,2021年基础知识(暖通空调+动力)真题

(暖通空调+动力)基础知识,历年真题,2021年基础知识(暖通空调+动力)真题

  • A.见图A
  • B.见图B
  • C.见图C
  • D.见图D
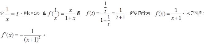
答案: C
本题解析:

(暖通空调+动力)基础知识,历年真题,2021年基础知识(暖通空调+动力)真题

更新时间:2022-05-06 21:45
纠错

你可能感兴趣的试题

单选题

专业基础知识(给排水),章节练习,公用设备工程师《专业基础知识(给排水)》水文学和水文地质

  • A.1365.3
  • B.4514.6
  • C.3685.2
  • D.3410.9
查看答案
单选题

专业基础知识(给排水),章节练习,公用设备工程师《专业基础知识(给排水)》水文学和水文地质

  • A.<img src='http://tp.mxqe.com/data/747/13595005_0_1.jpg' alt='专业基础知识(给排水),章节练习,公用设备工程师《专业基础知识(给排水)》水文学和水文地质' title='专业基础知识(给排水),章节练习,公用设备工程师《专业基础知识(给排水)》水文学和水文地质'>
  • B.<img src='http://tp.mxqe.com/data/747/13595005_0_2.jpg' alt='专业基础知识(给排水),章节练习,公用设备工程师《专业基础知识(给排水)》水文学和水文地质' title='专业基础知识(给排水),章节练习,公用设备工程师《专业基础知识(给排水)》水文学和水文地质'>
  • C.0
  • D.<img src='http://tp.mxqe.com/data/747/13595005_0_3.jpg' alt='专业基础知识(给排水),章节练习,公用设备工程师《专业基础知识(给排水)》水文学和水文地质' title='专业基础知识(给排水),章节练习,公用设备工程师《专业基础知识(给排水)》水文学和水文地质'>
查看答案
单选题

专业基础知识(给排水),章节练习,公用设备工程师《专业基础知识(给排水)》水文学和水文地质

  • A.<img src='http://tp.mxqe.com/data/747/13595002_0_1.jpg' alt='专业基础知识(给排水),章节练习,公用设备工程师《专业基础知识(给排水)》水文学和水文地质' title='专业基础知识(给排水),章节练习,公用设备工程师《专业基础知识(给排水)》水文学和水文地质'>
  • B.<img src='http://tp.mxqe.com/data/747/13595002_0_2.jpg' alt='专业基础知识(给排水),章节练习,公用设备工程师《专业基础知识(给排水)》水文学和水文地质' title='专业基础知识(给排水),章节练习,公用设备工程师《专业基础知识(给排水)》水文学和水文地质'>
  • C.<img src='http://tp.mxqe.com/data/747/13595002_0_3.jpg' alt='专业基础知识(给排水),章节练习,公用设备工程师《专业基础知识(给排水)》水文学和水文地质' title='专业基础知识(给排水),章节练习,公用设备工程师《专业基础知识(给排水)》水文学和水文地质'>
  • D.<img src='http://tp.mxqe.com/data/747/13595002_0_4.jpg' alt='专业基础知识(给排水),章节练习,公用设备工程师《专业基础知识(给排水)》水文学和水文地质' title='专业基础知识(给排水),章节练习,公用设备工程师《专业基础知识(给排水)》水文学和水文地质'>
查看答案
单选题

专业基础知识(给排水),章节练习,公用设备工程师《专业基础知识(给排水)》水文学和水文地质

  • A.39.6mm
  • B.29.6mm
  • C.29.5mm
  • D.29.7mm
查看答案
单选题

专业基础知识(给排水),章节练习,公用设备工程师《专业基础知识(给排水)》水文学和水文地质

  • A.<img src='http://tp.mxqe.com/data/747/13594992_0_1.jpg' alt='专业基础知识(给排水),章节练习,公用设备工程师《专业基础知识(给排水)》水文学和水文地质' title='专业基础知识(给排水),章节练习,公用设备工程师《专业基础知识(给排水)》水文学和水文地质'>
  • B.<img src='http://tp.mxqe.com/data/747/13594992_0_2.jpg' alt='专业基础知识(给排水),章节练习,公用设备工程师《专业基础知识(给排水)》水文学和水文地质' title='专业基础知识(给排水),章节练习,公用设备工程师《专业基础知识(给排水)》水文学和水文地质'>
  • C.<img src='http://tp.mxqe.com/data/747/13594992_0_3.jpg' alt='专业基础知识(给排水),章节练习,公用设备工程师《专业基础知识(给排水)》水文学和水文地质' title='专业基础知识(给排水),章节练习,公用设备工程师《专业基础知识(给排水)》水文学和水文地质'>
  • D.<img src='http://tp.mxqe.com/data/747/13594992_0_4.jpg' alt='专业基础知识(给排水),章节练习,公用设备工程师《专业基础知识(给排水)》水文学和水文地质' title='专业基础知识(给排水),章节练习,公用设备工程师《专业基础知识(给排水)》水文学和水文地质'>
查看答案
单选题

专业基础知识(给排水),章节练习,公用设备工程师《专业基础知识(给排水)》水文学和水文地质

  • A.<img src='http://tp.mxqe.com/data/747/13594978_0_1.jpg' alt='专业基础知识(给排水),章节练习,公用设备工程师《专业基础知识(给排水)》水文学和水文地质' title='专业基础知识(给排水),章节练习,公用设备工程师《专业基础知识(给排水)》水文学和水文地质'>
  • B.<img src='http://tp.mxqe.com/data/747/13594978_0_2.jpg' alt='专业基础知识(给排水),章节练习,公用设备工程师《专业基础知识(给排水)》水文学和水文地质' title='专业基础知识(给排水),章节练习,公用设备工程师《专业基础知识(给排水)》水文学和水文地质'>
  • C.<img src='http://tp.mxqe.com/data/747/13594978_0_3.jpg' alt='专业基础知识(给排水),章节练习,公用设备工程师《专业基础知识(给排水)》水文学和水文地质' title='专业基础知识(给排水),章节练习,公用设备工程师《专业基础知识(给排水)》水文学和水文地质'>
  • D.<img src='http://tp.mxqe.com/data/747/13594978_0_4.jpg' alt='专业基础知识(给排水),章节练习,公用设备工程师《专业基础知识(给排水)》水文学和水文地质' title='专业基础知识(给排水),章节练习,公用设备工程师《专业基础知识(给排水)》水文学和水文地质'>
查看答案
单选题

专业基础知识(给排水),章节练习,公用设备工程师《专业基础知识(给排水)》水文学和水文地质

  • A.0.3
  • B.3
  • C.15
  • D.30
查看答案
单选题

专业基础知识(给排水),章节练习,公用设备工程师《专业基础知识(给排水)》水文学和水文地质

  • A.甲河水资源丰富,径流量年际变化大
  • B.甲河水资源丰富,径流量年际变化小
  • C.乙河水资源丰富,径流量年际变化大
  • D.乙河水资源丰富,径流量年际变化小
查看答案
单选题

专业基础知识(给排水),章节练习,公用设备工程师《专业基础知识(给排水)》水文学和水文地质

  • A.0.55
  • B.0.45
  • C.0.65
  • D.0.68
查看答案
单选题

专业基础知识(给排水),章节练习,公用设备工程师《专业基础知识(给排水)》水文学和水文地质

  • A.<img src='http://tp.mxqe.com/data/747/13595246_0_1.jpg' alt='专业基础知识(给排水),章节练习,公用设备工程师《专业基础知识(给排水)》水文学和水文地质' title='专业基础知识(给排水),章节练习,公用设备工程师《专业基础知识(给排水)》水文学和水文地质'>
  • B.<img src='http://tp.mxqe.com/data/747/13595246_0_2.jpg' alt='专业基础知识(给排水),章节练习,公用设备工程师《专业基础知识(给排水)》水文学和水文地质' title='专业基础知识(给排水),章节练习,公用设备工程师《专业基础知识(给排水)》水文学和水文地质'>
  • C.<img src='http://tp.mxqe.com/data/747/13595246_0_3.jpg' alt='专业基础知识(给排水),章节练习,公用设备工程师《专业基础知识(给排水)》水文学和水文地质' title='专业基础知识(给排水),章节练习,公用设备工程师《专业基础知识(给排水)》水文学和水文地质'>
  • D.<img src='http://tp.mxqe.com/data/747/13595246_0_4.jpg' alt='专业基础知识(给排水),章节练习,公用设备工程师《专业基础知识(给排水)》水文学和水文地质' title='专业基础知识(给排水),章节练习,公用设备工程师《专业基础知识(给排水)》水文学和水文地质'>
查看答案