某房间长20m、宽10m、高5m。地面为木地板,墙面为砖墙抹灰,顶面为矿棉板,地面、墙面、顶面的吸声系数分别为0.05、0.02、0.5。该房间内的混响时间为( )。
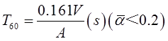
根据赛宾公式:

式中,T60为混响时间,s;V为房间容积,m3;A为室内总吸声量,m2。
,S为室内总表面积,m2;
为室内平均吸声系数。
本题中,V=20×10×5=1000(m3);A=20×10×0.05+(20×5×2+10×5×2)×0.02+20×10×0.5=10+6+100=116(m3)。
则该房间内的混响时间为:T60=0.161×1000/116≈1.4(s)。
建设项目的实际造价是( )。








