当前位置:首页 → 建筑工程 → 二级造价工程师 → 建设工程造价管理基础知识->某项目建设期为三年,第一年的建设投资为5000万元,第二、三
某项目建设期为三年,第一年的建设投资为5000万元,第二、三年的建设投资分别为上一年度的40%,建设期年平均价格上涨率为8%,则该项目第二年的价差预备费应为( )万元。
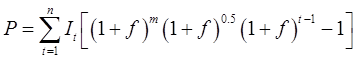
价差预备费是指为建设期内利率、汇率或价格等因素的变化而预留的可能增加的费用。计算公式为:

式中,P为价差预备费(万元);n为建设期年份数;It为建设期中第t年的静态投资计划额,包括工程费用、工程建设其他费用及基本预备费;f为年投资价格上涨率(%);m为建设前期年限(从编制估算到开工建设,单位:年);t为年度数。
该项目第二年的价差预备费=5000×40%×[(1+8%)0(1+8%)0.5(1+8%)2-1-1]=244.7(万元)。
根据《国务院关于投资体制改革的决定》实行备案制的项目是()。
根据《建筑工程施工质量验收统一标准》 , 下列工程中, 属于分项工程的是( ) 。
根据《建筑工程施工质量验收统一验收标准》,下列工程中,属于分项工程的是()。
根据《建设工程质量管理条例》, 在正常使用条件下, 供热与供冷系统的最低保修期限是( ) 个采暖期、 供冷期。
在下列情形中,不构成缔约过失责任的是()。
根据《民法典》,下列各类合同中,属于无效合同的有()。
根据《国务院关于投资体制改革的决定》,对于采用直接投资和资本金注入方式的政府投资项目,除特殊情况外,政府部门不再审批()。
根据《中华人民共和国建筑法》,关于施工许可证的申领,下列说法不正确的是( )。
根据《民法典》,与无权代理人签订合同的相对人可以催告被代理人在()个月内予以追认。
根据《建筑法》,关于建筑工程承包的说法,正确的有()。