当前位置:首页 → 职业资格 → 教师资格 → 中学音乐学科知识与教学能力->下面谱例中的旋律是哪个地方的民歌?()
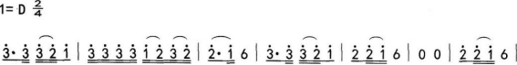
下面谱例中的旋律是哪个地方的民歌?( )

通过视唱谱例旋律可知,该旋律名为《放马山歌》,是流行于云南西部的一首山歌。歌词简朴、亲切自然,反映了西南高原传统又普遍的生活。
有“泥土诗人”之称的诗人是()。
将下列各项按所表示年龄大小顺序排列,正确的顺序应是( )。
①不惑②垂髫③花甲④加冠⑤而立⑥古稀⑦半百
明朝初年强化君主专制的措施是()。
1931年,一位给人们带来光明的科学家重病的消息牵动着世界人民的心,几十名记者为他守夜。每隔一个小时就对外发布一次消息:“灯”还亮着。这位科学家是( )。
钱穆在评论中国古代某制度时说,它“可以培植全国人民对政治之兴味……可以团结全国各地域于一个中央之统治”,这一制度是()。
《义务教育数学课程标准(2011年版)》强调,课程内容要反映社会的需要、数学的特点,要符合学生的认知规律。课程内容的组织要重视过程,处理好()的关系。
《大碗岛的星期天》是哪一位画家作品?( )
设α是某一方程组的解向量,k为某一常数,则kα也为该方程组的解向量。( )
杜甫诗句“三月三日天气新,长安水边多丽人。”能够使人联想到的美术作品是()。
