(2017年真题)某公司打算运用6个月期的沪深300价指数期货为其价值600万元的股组合套期保值,该组合的β值为1.2.,当时的期货价格为400元,则该公司应卖出的期货合约数量为( )份。
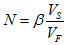
股指期货最佳套期保值数量:

其中,VS为股票组合的价值;VF为单位股指期货合约的价值(等于期货价格乘以合约大小);β为该股票组合与期货标的股指的β系数。因为股票组合没有单位价格,因此很少使用套期保值比率,直接计算套期保值需要的最佳期货数量比较合适。
由于一份该期货合约的价值为400×300=12万元,因此该公司应卖出的期货合约的数量为:
1.2*600/12=60份。
下列关于工程监理单位和监理人员职责的表述中,正确的是()。
小王于2016年1月1日购买一款期限1年、到期一次性支付本息的银行理财产品,初始投资2万元。该产品按复利每季度计息一次,年利率为8%。则到期后小王一共能获得本息()元。
在商业银行资产负债管理方法中,用来衡量银行资产与负债之间重定价期限和现金流量到期期限匹配情况的方法是()分析法。
下列假设条件中,属于布莱克斯科尔斯期权定价模型假定的有()。
根据《公司法》规定,公司经营管理发生严重困难,继续存续会使股东利益受到重大损失,通过其他途径不能解决的,持有公司全部股东表决权( )以上的股东,可以请求人民法院解散公司。
如果既定的资源配置状态能够在其他人福利水平不下降的情况下,通过资源重新配置使至少一个人的福利水平有所提高,这种资源重新配置被称为( )。
会计计量时采用历史成本进行计量的主要原因有( )。
短期融资能力强,需要的国际储备总量()。
下列不属于我国商业银行核心一级资本的是()。
关于资本资产定价理论描述错误的是()。