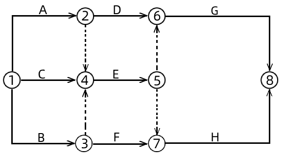
下列图表为工作和紧前工作内容,用双代号网络图绘制,至少( )虚箭线。

教材P116-121

下列工程中,属于分部工程的是( )
根据《招标投标法实施条例》,依法必须进行招标的项目可以不进行招标的情形是()。
根据《工程造价咨询企业管理办法》,工程造价咨询企业可被处1万元以上3万元以下罚款的情形是( )。
根据《建筑法》,获取施工许可证后因故不能按期开工的,建设单位应当申请延期,延期的规定是( )。
判断合同是否成立的依据是( )。
根据我国《价格法》,制定关系群众切身利益的公用事业价格、公益性服务价格、自然垄断经营的商品价格时,应当建立( )制度。
关于《国务院关于投资体制改革的决定》,特别重大的政府投资项目应实行( )制度。
建设工程项目采用Partnering模式的特点有( )。
根据《工程造价咨询企业管理办法》,申请甲级工程造价咨询企业资质,须取得乙级工程造价咨询企业资质资格证书满( )年。
根据《招标投标法实施条例》,对于采用两阶段招标的项目,投标人在第一阶段向招标人提交的文件是( )。