当前位置:首页 → 建筑工程 → 一级建造师 → 一建建设工程项目管理->某双代号网络计划如下图(图中粗实线为关键工作),若计划工期等
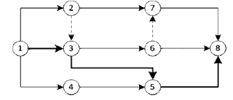
某双代号网络计划如下图(图中粗实线为关键工作),若计划工期等于计算工期,则自由时差一定等于总时差且不为零的工作有( )。

某工作的总时差=min{紧后工作的总时差+本工作的自由时差}。当计划工期等于计算工期的时候,只要完成节点是关键节点且不在关键线路,上的工作,其自由时差等于总时差,且不为零。
根据《招标投标法实施条例》,视为投标人相互串通投标的情形有( )。
某建设工程项目中标人与招标人签订合同并备案的同时,双方针对结算条款签订了与备案合同完全不同的补充协议。后双方因计价问题发生纠纷,遂诉至法院。法院此时应该( )作为结算工程款的依据。
建筑安装工程费用项目组成中,暂列金额主要用于( )。
根据《中华人民共和国招标投标法》及相关法规,对必须招标的项目,招标人行为符合要求的是( )。
关于施工图预算和施工预算的说法,错误的是( )。
关于施工成本控制的说法,正确的是( )。
采用工程总承包方式发包的工程,其工程总承包管理费应从( )中支出。
根据《建设工程安全生产管理条例》,施工单位应当组织专家进行论证、审查的专项施工方案有( )。
关于建设工程管理内涵的说法,正确的是( )。
混凝土拌合物的和易性包括( )。