当前位置:首页职业资格投资银行业务保荐代表人保荐代表人胜任能力->某公司今年分配每股股利为2元,预计未来2年股利将高速增长,年

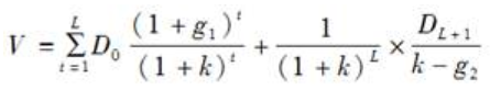
某公司今年分配每股股利为2元,预计未来2年股利将高速增长,年增长率为20%,然后进入固定增长期,年增长率为10%,假定必要收益率为12%,则公司当前股票的内在价值为(  )。

  • A.116.94元/股
  • B.119.23元/股
  • C.130.71元/股
  • D.133.01元/股
  • E.117.18元/股
答案: C
本题解析:

由题可知,D0=2元,g1=0.20,g2=0.1,L=2,k=0.12,则该公司股票的内在价值为:

保荐代表人胜任能力,历年真题,2021年保荐代表人胜任能力考试《投资银行业务》真题精选,将数据代入求得V≈130.71元/股。

更新时间:2022-01-25 11:31
纠错

你可能感兴趣的试题

单选题

可能影响所有者权益变动表、但不影响净利润的有(  )。

Ⅰ现金流量套期工具产生的利得中属于有效套期的部分

Ⅱ外币财务报表折算差额

Ⅲ自用转为投资性房地产公允价值增加的部分

Ⅳ应收账款坏账的转回

  • A.Ⅰ、Ⅱ、Ⅲ、Ⅳ
  • B.Ⅱ、Ⅲ、Ⅳ
  • C.Ⅰ、Ⅱ、Ⅲ
  • D.Ⅰ、Ⅲ、Ⅳ
  • E.Ⅰ、Ⅱ、Ⅲ、Ⅳ
查看答案
单选题

下列关于现金流量性质的判断,正确的是(  )。

Ⅰ支付给离休退休人员的工资在“支付其他与经营活动有关的现金”项目反映

Ⅱ出售交易性金融资产收到的现金在“取得投资收益收到的现金”项目反映

Ⅲ融资租赁各期支付的现金在“支付其他与筹资活动有关的现金”项目反映

Ⅳ发行股票支付的佣金在“支付其他与筹资活动有关的现金”项目反映

Ⅴ本期发生销货退回而支付的现金在“收到其他与经营活动有关的现金”项目反映

  • A.Ⅰ、Ⅱ
  • B.Ⅰ、Ⅲ
  • C.Ⅰ、Ⅲ、Ⅳ
  • D.Ⅲ、Ⅳ、Ⅴ
  • E.Ⅰ、Ⅲ、Ⅳ、Ⅴ
查看答案
单选题

关于租赁,以下说法正确的是(  )。

Ⅰ最低租赁付款额包括各期租金之和、承租人或与其有关的第三方担保的资产余值

Ⅱ最低租赁付款额是指在租赁期内承租人应支付的或可能被要求支付的各项费用,包括或有租金和履约成本

Ⅲ最低租赁收款额包括最低租赁付款额、无关第三方对出租人担保的资产余值

Ⅳ在租赁期开始日融资租入固定资产入账价值的确定中,应将租赁资产的公允价值与最低租赁付款额的现值两者中的较低者作为租入资产入账价值

Ⅴ在租赁期开始日融资租入固定资产入账价值的确定中,承租人发生的初始直接费用,应当计入管理费用

  • A.Ⅳ
  • B.Ⅲ、Ⅳ
  • C.Ⅱ、Ⅳ、Ⅲ、Ⅳ
  • D.Ⅰ、Ⅲ、Ⅳ
查看答案
单选题

甲公司2010年度利润总额为2600万元,2010年经营期间受到行政罚款200万元。对于固定资产,会计上按双倍余额递减法计提折旧,税法规定按年限平均法折旧,原值为2000万元,折旧年限为10年,净残值为0。企业所得税率为25%,当年为固定资产折旧年限第1年,递延所得税资产和递延所得税负债期初余额均为0,以下说法正确的是(  )。

Ⅰ甲公司2010年当期所得税为750万元

Ⅱ甲公司2010年当期所得税为700万元

Ⅲ甲公司2010年所得税费用为750万元

Ⅳ甲公司2010年所得税费用为700万元

  • A.Ⅰ、Ⅲ
  • B.Ⅰ、Ⅳ
  • C.Ⅱ、Ⅲ
  • D.Ⅱ、Ⅳ
查看答案
单选题

债务人甲公司以公允价值为7000万元、账面价值为6000万元的存货,偿还账面价值为8000万元的债务给债权人乙公司,增值税税率为16%,增值税由债权人另行支付,乙公司对该项债权计提坏账准备1200万元,甲、乙公司的会计处理正确的是(  )。

Ⅰ乙冲减资产减值损失200万元

Ⅱ甲确认营业外收入2000万元

Ⅲ甲确认营业外收入1000万元

Ⅳ乙确认营业外支出1000万元

Ⅴ乙冲减坏账准备1200万元

Ⅵ甲确认营业收入7000万元

  • A.Ⅰ、Ⅱ、Ⅳ、Ⅴ
  • B.Ⅰ、Ⅲ、Ⅴ、Ⅵ
  • C.Ⅰ、Ⅲ、Ⅳ、Ⅴ
  • D.Ⅱ、Ⅳ、Ⅴ、Ⅳ
查看答案
单选题

A公司将专利技术无形资产与B公司交换取土地使用权。A公司无形资产账面价值1800万元,公允价值2800万元,另支付200万元补价;B公司土地使用权公允价值3000万元,账面价值2000万元。假设不考虑税收等其他因素,下列说法正确的是(  )。

ⅠA公司应确认资产处置收益1000万元

ⅡA公司应确认资产处置收益800万元

ⅢB公司应确认资产处置收益1000万元

ⅣB公司应确认资产处置收益1200万元

  • A.Ⅰ、Ⅲ
  • B.Ⅰ、Ⅳ
  • C.Ⅱ、Ⅲ
  • D.Ⅱ、Ⅳ
查看答案
单选题

A投资者2012年9月30日向某券商融券,卖出10万股B股票,融券期限4个月,融券卖出价格10元每股,融券年利率为12%。2012年11月30日B股票价格为9元每股,2012年12月31日价格为7元每股,2013年1月31日股票价格为8元每股,2013年1月31日投资者平仓结算,则下面说法正确的是(  )。

ⅠA投资者损益为17万元

ⅡA投资者损益为18万元

Ⅲ证券公司2012年11月30日确认公允价值变动损益-10万元

Ⅳ证券公司2012年12月31日确认公允价值变动损益-20万元

  • A.Ⅲ
  • B.Ⅰ、Ⅳ
  • C.Ⅱ、Ⅲ
  • D.Ⅲ、Ⅳ
  • E.Ⅱ、Ⅲ、Ⅳ
查看答案
单选题

下列金融资产中,不作为其他权益工具投资核算的是(  )。

Ⅰ企业购入有公开报价但不准备随时变现的A公司5%的股权

Ⅱ企业购入有意图和能力持有至到期的B公司债券

Ⅲ企业购入没有公开报价且不准备随时变现的A公司5%的股权

Ⅳ企业从二级市场购入准备随时出售的普通股股票

  • A.Ⅰ、Ⅱ
  • B.Ⅱ、Ⅲ、Ⅳ
  • C.Ⅰ、Ⅲ
  • D.Ⅱ、Ⅳ
  • E.Ⅰ、Ⅱ、Ⅲ、Ⅳ
查看答案
单选题

有关投资性房地产的说法正确的是(  )。

Ⅰ采用公允价值对投资性房地产进行后续计量的企业,有证据表明,当企业首次取得某项非在建投资性房地产时,该投资性房地产公允价值不能持续可靠取得的、应当对该投资性房地产采用成本模式计量直至处置,并假设无残值

Ⅱ采用公允价值模式进行后续计量的企业,对于在建投资性房地产,如果其公允价值无法可靠确定但预期该房地产完工后的公允价值能够持续取得的,应当以成本计量该在建投资性房地产,其公允价值能够可靠计量时或其完工后(两者孰早)再以公允价值计量

Ⅲ采用成本模式对投资性房地产进行后续计量的企业,有证据表明企业首次取得某项投资性房地产时,该投资性房地产公允价值能够持续可靠取得,该企业对该投资性房地产可按照公允价值模式进行后续计量

Ⅳ采用成本摸式对投资性房地产进行后续计量的企业,有证据表明企业首次取得某项投资性房地产时,该投资性房地产公允价值能够持续可靠取得,该企业仍应对该投资性房地产按照成本模式进行后续计量

  • A.Ⅰ、Ⅲ
  • B.Ⅱ、Ⅳ
  • C.Ⅰ、Ⅱ、Ⅲ
  • D.Ⅰ、Ⅱ、Ⅳ
  • E.Ⅰ、Ⅱ、Ⅲ、Ⅳ
查看答案
单选题

2014年1月1日,甲公司购入一项土地使用权,以银行存款支付100000万元,土地的使用年限为50年,并在该土地上以出包方式建造办公楼。2015年12月31日,该办公楼工程已经完工并达到预定可使用状态,全部成本为80000万元。该办公楼的折旧年限为25年。假定不考虑净残值。甲公司下列会计处理中,正确的有(  )。

Ⅰ土地使用权和地上建筑物分别作为无形资产和固定资产进行核算

Ⅱ2014年和2015年无形资产不需要进行摊销

Ⅲ2015年12月31日,固定资产的入账价值为180000万元

Ⅳ2016年直线法下土地使用权摊销额和年限平均法下办公楼折旧额分别为2000万元和3200万元

  • A.Ⅰ、Ⅱ
  • B.Ⅰ、Ⅳ
  • C.Ⅱ、Ⅲ、Ⅳ
  • D.Ⅰ、Ⅱ、Ⅲ、Ⅳ
查看答案

相关题库更多>