所示口字形刚架,当侧向荷载q增大时,顶部支座a点、跨中b点的弯矩绝对值Ma、Mb将发生变化,正确的说法是( )。

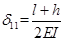
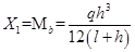
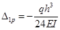
根据结构的对称性取1/4结构,如所示,为一次超静定结构,根据力法求解,取基本结构,绘制出M1图和MP图,列力法方程:
,
,
,解得:
,根据叠加原理
,故侧向荷载q增大时,Ma增大,Mb增大

建设项目的实际造价是( )。
砌体结构的圈梁被门窗洞口截断时,应在洞口上部增设相同的附加圈梁,其搭接长度不应小于附加圈梁与原圈梁中到中垂直距离的2倍,且不能小于下列哪一个数值?( )







建筑物共有四个抗震设防类别,下列哪一类建筑的分类原则是正确的?( )