采用哪一种措施可以减小普通钢筋混凝土简支梁裂缝的宽度( )。
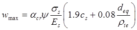
《混凝土结构设计规范》(GB 50010—2010)(2015年版)第7.1.2条规定,在矩形、T形、倒T形和I形截面的钢筋混凝土受拉、受弯和偏心受压构件及预应力混凝土轴心受拉和受弯构件中,按荷载标准组合或准永久组合并考虑长期作用影响的最大裂缝宽度按下式计算:

当减少简支梁底部主筋直径时,deq(受拉区纵向钢筋的有效直径)减小,ωmax将减小。
建设项目的实际造价是( )。
砌体结构的圈梁被门窗洞口截断时,应在洞口上部增设相同的附加圈梁,其搭接长度不应小于附加圈梁与原圈梁中到中垂直距离的2倍,且不能小于下列哪一个数值?( )







建筑物共有四个抗震设防类别,下列哪一类建筑的分类原则是正确的?( )