所示三铰拱支座的水平推力是( )。

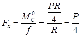
三铰拱可以换算成相对应的简支梁然后根据公式换算可得水平推力,题图所示三铰拱的相应简支梁如所示,首先求支座反力,取整体作为分析,对A点取矩,由∑MA=0解得:FB=P/4,然后利用截面法求C点弯矩,可得:MC0=PR/4,故水平推力为:


建设项目的实际造价是( )。
砌体结构的圈梁被门窗洞口截断时,应在洞口上部增设相同的附加圈梁,其搭接长度不应小于附加圈梁与原圈梁中到中垂直距离的2倍,且不能小于下列哪一个数值?( )







建筑物共有四个抗震设防类别,下列哪一类建筑的分类原则是正确的?( )