关于题解图所示两结构A、B点的水平位移,正确的是( )。

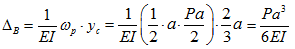
如所示,用单位荷载法分别计算A、B点的位移。A点所在结构为对称结构,受反对称荷载,可简化为(a)。B点所在结构为一次超静定排架,可简化为(b)图。然后分别用图乘法计算可得:



故ΔA=1.5ΔB。
建设项目的实际造价是( )。
砌体结构的圈梁被门窗洞口截断时,应在洞口上部增设相同的附加圈梁,其搭接长度不应小于附加圈梁与原圈梁中到中垂直距离的2倍,且不能小于下列哪一个数值?( )







建筑物共有四个抗震设防类别,下列哪一类建筑的分类原则是正确的?( )