关于所示结构中杆件a和b内力数值(绝对值)的判断,下列何项正确?( )

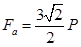
首先求支座反力,根据对称性可知,两端支座反力为5P/2。然后用截面法求解杆a、b的内力。如(a)所示,由∑Fy=0,Fa·cos45°+P=5P/2,解得:
。如解图(b)所示,由∑Fy=0,Fb·cos45°+2P=5P/2,解得:
,显然Fa>Fb。

建设项目的实际造价是( )。
砌体结构的圈梁被门窗洞口截断时,应在洞口上部增设相同的附加圈梁,其搭接长度不应小于附加圈梁与原圈梁中到中垂直距离的2倍,且不能小于下列哪一个数值?( )







建筑物共有四个抗震设防类别,下列哪一类建筑的分类原则是正确的?( )