所示结构中,0<x<L/4,为减少bc跨跨中弯矩,应( )。

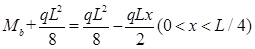
图示结构是静定结构,静定结构中,杆件内力大小与杆件刚度无关,所以AB两项错误。如所示,bc是主体部分,ab是附属部分,受力分析是应先分析附属部分。故从中间铰接点处断开,分别画出左、右两边的受力图。

b点的负弯矩
bc跨跨中弯矩可由叠加法求得:
可见当x增加时,bc跨中弯矩M中减少。
建设项目的实际造价是( )。
砌体结构的圈梁被门窗洞口截断时,应在洞口上部增设相同的附加圈梁,其搭接长度不应小于附加圈梁与原圈梁中到中垂直距离的2倍,且不能小于下列哪一个数值?( )







建筑物共有四个抗震设防类别,下列哪一类建筑的分类原则是正确的?( )