用赛宾公式计算某大厅的混响时间时,用不到以下哪个参数?( )
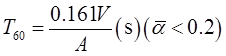
根据赛宾公式:

式中,V为房间容积,m3;A为室内总吸声量,m2。A=S×
,S为室内总表面积,m2;
为室内平均吸声系数。
由此可知大厅混响时间计算应考虑以下方面:①根据确定的房间体形,计算室内体积V和总表面积S;②根据混响时间计算公式,求出大厅的平均吸声系数
;③计算大厅内各频率所需的总吸声量A以及固有吸声量,即家具、观众、舞台口、耳面光口、走道、通风口等的吸声量总和,室内所需的总吸声量A减去固有吸声量就是所需增加的吸声量;④根据材料及构造的吸声系数数据,选择合适的装修材料及构造方式,确定相应的面积,以满足所需增加的吸声量,使各频带的混响时间达到混响时间频率特性的要求。
建设项目的实际造价是( )。
砌体结构的圈梁被门窗洞口截断时,应在洞口上部增设相同的附加圈梁,其搭接长度不应小于附加圈梁与原圈梁中到中垂直距离的2倍,且不能小于下列哪一个数值?( )







建筑物共有四个抗震设防类别,下列哪一类建筑的分类原则是正确的?( )