某建设项目的静态投资为3750万元,按进度计划,项目建设期为两年。两年的投资分年使用,比例为第一年40%,第二年60%。建设期内平均价格变动率预测为6%,则该项目建设期涨价预备费为( )万元。
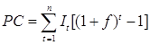
涨价预备费的计算公式:

式中,PC为涨价预备费;It为建设期中第t年的投资计划额,包括工程费用、工程建设其他费用及基本预备费,及第t年的静态投资;n为建设期;f为年均投资价格上涨率。
应按照上述公式分年度进行计算,如下式:V=∑年投资计划额[(1+年均投资价格上涨率)年份-1];第一年:V1=375040%[(1+6%)1-1]=90(万元);第二年:V2=375060%[(1+6%)2-1]=278.1(万元),V=V1+V2=90+278.1=368.1(万元)。
设计内容
卫生间同层排水,图为卧室与卫生间相邻的墙体,排水管道不得穿越楼板。补全构造节点,并标明材料、厚度及相关及寸。
设计内容
根据所给的条件,标出3个水平防潮层的做法及位置,2个垂直防潮层的位置。
设计条件
某快餐厅厨房一层局部平面及场地见下页图,场地中已给出隔油池和化粪池位置,室外排水管线应位于建筑北侧并连接到化粪池
作图要求
1.在已给平面中按图例绘制所需的地漏和室内排水管线。
2.在建筑北侧室外按图例绘制检查井和室外排水管线。
设计条件
某多层住宅钢筋混凝土结构地下车库局部剖面下页图,地下室底板、侧墙、顶板均采用防水混凝土,防水设防等级为Ⅱ级,不设置保温层。
作图要求
1.绘出底板、侧墙、顶板的防水构造,并在引出线上分层注明材料、做法、厚度。
2.完整绘出阴阳转角处大样①、②、③的防水构造,并标注材料、做法、厚度及控制宽度。
设计条件
如图为某学校教学楼一层平面图,该建筑所在地区日晒不强烈且昼夜温差小于15℃。
作图要求
1.绘出1m宽度的散水及其伸缩缝。
2.标注伸缩缝的间距。
3.填空:伸缩缝的缝宽15~20 mm。
设计任务
某学校宿舍盥洗室及卫生间平面如图所示,根据建筑物用途,在图上用图例所示符号分别绘出给水、排水立管和水平管布置图、室内灯具照明图、开关位置、线路布置图。
设计条件
某厂区拟在原有两座厂房A、B处贴建一新厂房C,厂房均为钢筋混凝土框架结构。厂房C由两层车间和一层连廊组成,连廊屋顶采用悬挑结构,厂房A、B、C经连廊相互贯通。新旧厂房之间需设置变形缝,新旧厂房首层组合平面图及剖面图如图所示。
作图要求
在组合平面图和剖面图中,用短粗实线标明新旧建筑间墙体变形缝位置。在新建厂房C中的一层顶板开设一处长度为19 m,宽度为13m的洞口,该洞口范围内要求无梁、板、柱,根据结构合理性,在平面中用粗虚线绘出该洞口位置,并标明需去除的柱子。
应设置附加防水层的节点是( )。
A.节点①
B.节点①、节点③
C.节点②、节点③
D.节点②、节点
使用扁钢的节点是( )。
A.节点①
B.节点②
C.节点③
D.节点④
节点③中,侧墙靠顶板部位自外向内的正确防水构造层次为( )。
A.加气混凝土块保护层、防水层、水泥砂浆找平层
B.加气混凝土块保护层、附加防水层、防水层、水泥砂浆找平层
C.加气混凝土块保护层、隔离层、防水层
D.加气混凝土块保护层、水泥砂浆找平层