某三跨混凝土叠合板,其施工流程如下:(1)铺设预制板(预制板下不设支撑);(2)以预制板作为模板铺设钢筋、灌缝并在预制板面现浇混凝士叠合层;(3)待叠合层混凝土完全达到设计强度形成单向连续板后,进行建筑面层等装饰施工。最终形成的叠合板如题15-16图所示,其结构构造满足叠合板和装配整体式楼盖的各项规定。假定,永久荷载标准值为:(1)预制板自重gk1=3kN/m2;(2)叠合层总荷载gk2=1.25kN/m2;(3)建筑装饰总荷gk3=1.6kN/m2,可变荷载标准值为:(1)施工荷载qk1=2kN/m2;(2)使用阶段活载qk2=4kN/m2。沿预制板长度方向计算跨度l0,取图示支座中到中的距离,永久荷载分项系数取1.2,可变荷载分项系数取1.4。

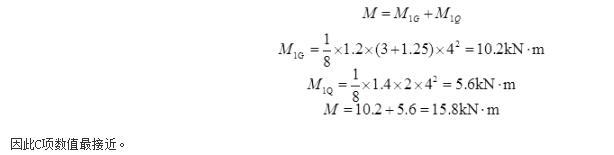
试问,验算第一阶段(后浇的叠合层混凝土达到强度设计值之前的阶段)预制板的正截面受弯承载力时,其每米板宽的弯矩设计值M(kN·m),与下列何项数值最为接近?
试验第一阶段时,永久荷载中的“建筑装饰总荷载gk3”以及可变荷载中的“使用阶段活载qk2”尚未施加,且尚未形成连续板,应按简支板计算。
根据《混凝土结构设计规范》(GB 50010—2010)(2015版)附录H第H.0.2条中的公式(H.0.2-1):











