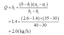
某新建化工项目氯化氢废气排气筒高35m,距该排气筒100m处有50m高建筑物。根据《大气污染物综合排放标准》,新污染源30m和40m高排气筒氯化氢最高允许排放速率分别为1.4kg/h、2.6kg/h,则该项目排气筒氯化氢最高允许排放速率为( )。
利用内插法计算35m排气筒氯化氢最高允许排放速率:

新污染源的排气筒一般不应低于15m。若新污染源的排气筒必须低于15m时,其排放速率标准值严格按外推计算结果50%执行。由于排气筒没有高出周围200m半径范围的最高建筑5m以上,所以最高允许排放速率要严格按50%执行。因此,该项目排气筒氯化氯最高允许排放速率为1.0kg/h。
某有限公司为大幅度降低吨铜成本、增加效益、充分挖掘潜力和利用闪速炉首次冷修的良机,决定进行扩建改造工程,将铜的产量由15万t/a提高到21万t/a。其中:阳极铜产量由15万t/a提高到21万t/a,其中,19万t/a阳极铜生产阴极铜,2万t/a阳极铜作为产品直接外销;阴极铜产量由15万t/a提高到19万t/a;硫酸(100%硫酸)产量由49.5万t/a提高到63.4万t/a。
改扩建工程内容包括闪速炉熔炼工序、贫化电炉及渣水淬工序、吹炼工序、电解精炼工序、硫酸工序五个工序的改扩建。
扩建改造工程完成后,硫的回收率由95.15%增至95.5%,SO2排放量由2131t/a降至1948t/a,烟尘排放量由139.7t/a降至133t/a;废水排放总量为375.4万t/a,废水中主要污染物为Cu、As、Pb。工业水循环率由91.7%增至92.5%。
改扩建工程完成后,生产过程中的废气主要来源于干燥尾气、环保集烟烟气、阳极炉烟气、硫酸脱硫尾气(通过环保集烟罩收集闪速炉等冶金炉的泄漏烟气)4个高架排放源。其污染源主要污染物排放情况如图所示。

项目冶炼过程中产生水淬渣、转炉渣;污酸、酸性废水处理过程中产生含砷渣、石膏、中和渣。中和渣浸出试验结果如图所示。

根据上述资料,回答下列问题。
1.计算环境空气评价等级、确定评价范围和环境空气现状监测点数。各污染源SO2最大地面浓度及距离详见表。
SO2最大地面浓度及距离

2.干燥尾气、环保集烟烟气、硫酸脱硫尾气是否达标排放?
3.全年工作时间为8000小时,问项目是否满足SO2总量控制要求?
4.主要污染物以及产污节点是什么?
5.进行项目工程分析时,对“增产减污”项目,应收集哪些资料?
6.根据浸出试验结果,说明中和渣是否为危险废物。运营期固体废物应如何处置?
某化工项目拟建在某城市远郊某工业区,以氯苯、三氧化硫、二氯亚砜、氨水为原料,进行磺化、酰氯化反应和胺化反应,年产对氨基苯磺酰胺1000t。项目厂区占地40000m2,建设生产车间一座、独立的原料及成品罐区(带罩棚)一个、危险品库一个、2t/h锅炉房一座。项目排放氯化氢、氨气、氯苯等工艺废气;排放生产废水,其属酸性有机废水,并含有一些难降解毒性物质;还排放工艺废渣等固体废物。厂区排水实行雨污分流,雨水依靠重力流经管道排入A河。污水经厂内污水处理设施处理达到二级标准后经管道排入A河。项目主要噪声源为锅炉房噪声。
项目周围有三个村镇,分别位于拟建址西南4km、东5km和东北3km。除此之外没有其他居民区。A河为GB 3838—2002中规定的Ⅳ类水体。项目所在地区为《环境空气质量标准》Ⅱ类区。项目平面布置如图所示。

主要原料和产品的理化及毒理性质如下:
氯苯:无色透明液体,具有令人不愉快的苦杏仁味。熔点-45.2℃,沸点132.2℃,相对密度(水为1)1.10,相对蒸气密度(空气为1)3.9,闪点28℃。对中枢神经系统有抑制和麻醉作用;对皮肤和黏膜有刺激性。急性中毒:接触高浓度可引起麻醉症状,甚至昏迷。脱离现场,积极救治后,可较快恢复,但数日内仍有头痛、头晕、无力、食欲减退等症状。液体对皮肤有轻度刺激性,但反复接触,则起红斑或有轻度表浅性坏死。慢性中毒:常有眼痛、流泪、结膜充血的症状;早期有头痛、失眠、记忆力减退等神经衰弱症状;重者引起中毒性肝炎,个别可发生肾脊柱损害。LD50为2290mg/kg(大鼠经口)。对环境有严重危害,对水体、土壤和大气可造成污染。本品易燃,具刺激性,遇明火、高热或与氧化剂接触,有燃烧爆炸的危险。
氨水:35%水溶液,无色透明液体,有强烈的刺激性臭味。吸入后对鼻、喉和肺有刺激性,引起咳嗽、气短和哮喘等;重者发生喉头水肿、肺水肿及心、肝、肾损害。慢性影响:反复低浓度接触,可引起支气管炎;可致皮炎。不燃,具腐蚀性、刺激性,可致人体灼伤。
三氧化硫:无色液体或者无色至白色晶体,有发烟、吸湿特性。蒸气比空气重。α体、β体和γ体的熔点分别为62℃、33℃和17℃。该物质是一种强氧化剂,与可燃物质和还原性物质以及有机化合物激烈反应,有着火和爆炸危险。与水和潮湿空气激烈反应,生成硫酸。水溶液是一种强酸,与碱激烈反应。该物质可通过吸入其蒸气和食用吸收到体内。20℃时该物质蒸发,迅速达到空气中有害污染浓度。该物质腐蚀眼睛、皮肤和呼吸道。食入有腐蚀性。反复或长期接触气溶胶,肺可能受损伤,并有牙蚀的危险。含三氧化硫的强无机酸雾是人类致癌物。不可燃。受热引起压力升高,容器有爆裂危险。在火焰中释放出刺激性或有毒烟雾(或气体)。
二氯亚砜:无色至浅黄或浅红色发烟液体。有窒息气味。加热至140℃以上分解成氯气、二氧化硫和氯化硫,遇水水解成二氧化硫和盐酸。能与苯、氯仿混溶。相对密度(d204)1.638。熔点-104.5℃,沸点76℃。有催泪性和腐蚀性。贮存:密封阴凉干燥保存。按《危险货物品名表》,属酸性腐蚀品。
对氨基苯磺酰胺:白色颗粒或粉末状结晶,无臭,味微苦。熔点165~166℃。接触磺胺类的工人,有干咳、食欲不振、口中有恶味、头痛、头晕、易疲乏、精神萎靡、工作后思睡等症状。遇热分解放出有毒的氮氧化物和氧化硫。对环境可能有危害,对水体和土壤可造成污染。遇明火、高热可燃。其粉体与空气可形成爆炸性混合物,当达到一定浓度时,遇火星会发生爆炸。受高热分解放出有毒的气体。LD50为3900mg/kg(大鼠经口);3000mg/kg(小鼠经口);1300mg/kg(兔经口)。
根据上述资料,回答下列问题。
1.项目运行期主要环境影响因素有哪些?
2.项目环境空气质量调查应调查哪些因子?如建设地区没有其他的地方性大气污染物评价标准,项目大气污染物排放标准应选用哪些?分别适用于哪些废气排放?
3.项目涉及哪些危险物质?按《建设项目环境风险评价技术导则》可分为哪些功能单元?重大危险源存在哪些重大事故风险?项目环境风险评价进行的环境敏感性调查应调查哪些内容?
4.项目排放的生产废水,未处理前如按《环境影响评价技术导则 地面水环境》来划分,水质复杂程度如何?项目排水系统、废水处理设施应采取哪些应急措施来避免事故废水排放对地表水的重大环境影响?
某北方地区拟建一条四车道沥青路面的高速公路。沿线经过山岭重丘区,山体植被主要为落叶松和白桦,为次生林,且需开凿约3km的隧道通过;经过平原区20km,其中占用农田约10hm2、杨树人工林5hm2,草地约6hm2。设置取土场21处、弃土弃渣场7处。沿线有村庄6个,人口约1500人,其中因工程占地需移民30户。设置收费站2处,服务区1处。另外,工程还需经过一省级湿地自然保护区、跨越一河流Y需建一中型桥梁,该河流下游为某城镇饮用水水源地。
根据上述资料,回答下列问题。
1.对饮用水水源地,现状调查应弄清哪些问题?环境影响评价时应关注什么?应提出什么措施?
2.给出工程营运期的环境管理与污染源监测计划。
3.本工程需经过一处湿地自然保护区,应从哪几个方面论证其环境可行性?
4.弃土场如何恢复?
5.对于跨越Y河应从哪几个方面论证其环境合理性?
某油田拟新开发一个35km2区块,年产原油60×104t,采用注水开采,管道输送。该区块新建油井800口,大多数采用丛式井;钻井废弃泥浆、钻井岩屑、钻井废水在井场泥浆池中自然干化,就地处理;集输管线长约110km,均采用埋地敷设方式。开发区块土地类型主要为林地、草地和耕地。区内有小水塘分布,小河甲流经区内,并在区块外9km处汇入中型河乙,在交汇口处下游8km处进入县城集中式饮用水源地二级保护区,区块内有一省级天然林自然保护区,面积约600hm2,在自然保护区内不进行任何生产活动,井场和管线与自然保护区边缘的最近距离为500m。集输管线穿越河流甲一次。开发区块内主要土地类型和工程永久占地类型如图所示(单位:hm2)。[2008年真题]

根据上述资料,回答下列问题。
1.确定本项目的生态评价范围。
2.指出本项目的生态环境保护目标。
3.识别本项目环境风险事故源项,判断事故的主要环境影响。
4.从环境保护角度判断完井后固体废物处理方式存在问题,简述理由。
5.简述输油管道施工对生态的影响。
6. 生态影响评价应为几级评价?说明理由。
7.指出基本农田影响评价因素。
8.给出饮用水源保护区的保护措施。
9.本项目水环境影响评价范围。
10.本工程施工期对省级自然保护区是否有不利影响?
11. 简述油田落地油的来源,给出控制方案?
12.对区块内的草地,可采取哪些保护措施?
13.处于农田区的井场,封井后应做哪些工作?
14.给出钻井泥浆、钻井岩屑、钻井废水的处理途径。
15.给出工程调查与分析的主要内容。
16.对项目区的生物多样性应调查哪些内容?
17.对草地生态系统应调查哪些功能性指标?
18.本工程生态影响评价除常规评价外,还有必要提出应做哪些工作?
拟扩建金矿采选项目,现在矿石开采规模约3600t/d,采矿大量抽排矿井涌水,目前没有明显影响该区域内4个村庄地下水的取用。评价区内有地表沉陷发生,采矿中的废石堆置于甲废石场,废石场堆存量已接近设计容积,生产中产生的氰化矿渣,装入草编织袋内,先堆置于铺设普通水泥地面的堆棚内,堆棚有渗滤液收集池,然后由有处理资质的公司运走处置。选矿废水回用不外排,尾矿浆含有Pb、Cu、Ag、Cr等离子,排入尾矿库,尾矿库的上清液回用。
扩建主体工程为扩大井下采场,扩建后矿石开采能力将达到7200t/d,在山岭型冲沟新建乙废石场,占地2.3hm2,该冲沟植被现状以草灌为主,采矿石为工类,一般工业废物排入乙废石场,生产中产生的氰化矿渣仍临时堆置于现有堆棚,再适时运往某化工厂由环保行政主管部门批准使用的填埋场填埋,扩建后工程尾矿仍排至现尾矿库,生产废水亦回用不外排。[2008年真题]
根据上述资料,回答下列问题。
1.本项目环境质量现状监测中除环境空气和地表水外,还应对哪些环境要素进行监测并简述理由。
2.说明氰化矿渣处理方式是否符合现行危废贮存和填埋要求,简述理由。
3.指出扩建工程对评价区域生态环境影响较大的生产活动,简述理由。
4.针对甲、乙两个废石场,分别说明环评需要关注的主要环保问题。
5.新建废石场应采取的防止水土流失的措施。
6.工程存在的主要环境问题有哪些?
7.给出符合环境保护要求的氰化废渣处理处置方案?
8.指出尾矿库建设的环境保护要求(限6项)。
9.若工程对4个村庄的地下水有影响,其可能的影响有哪些?应采取哪些措施?
10.工程的环境经济损益分析内容?
11.环评单位受建设单位委托,在确定了承担环境影响评价工作后应于几日后向公众公告信息?公告哪些信息?
某水电枢纽工程为西南地区A河梯级开发中的一级,水库淹没和永久占地15km2(含耕地263hm2,其中基本农田247hm2),临时占地239hm2,基本农田50hm2,其余为林、旱、灌草地。工程需搬迁安置移民2700人,分5处安置。生产安置3960人。土地平衡仅可新增高质量耕地160hm2用于补偿。
工程影响区生态脆弱,有滑坡、崩塌等不良地质。河谷植被主要为灌草丛和灌丛。水库淹没线以下有36株国家二级保护野生植物。枢纽建设区及周边为粮食高产区。河流坡降大,鱼类资源丰富,以适应流水生境的鱼类为主。其中有某一种本地特有洄游性鱼类,卵苗需长距离顺水漂流孵化,库区内分布有该鱼集中产卵场。[2009年真题]
根据上述资料,回答下列问题。
1.列出运营期水文情势变化对库区产生的主要生态环境影响。
2.说明本工程建设对鱼类的影响。
3.本工程临时占地的生态恢复应注意哪些问题?提出国家二级保护野生植物的保护措施。
4.按基本农田“占补平衡”原则,本工程还应采取什么措施?
5.针对本工程环境影响区的特点,生态现状调查应重点调查哪些内容?
6.指出本工程移民安置可能产生的主要环境问题。
7.本工程建设社会环境影响评价应主要考虑哪些方面?
8.若本工程为引水式年调节电站,指出对坝下区域的主要生态影响。
9.指出本工程生态影响应重点评价的内容。
10.指出工程影响范围内基本农田调查应给出的结果。
11.本工程建设对陆生野生动物会有哪些方面的影响?
12.若原河道中有鳗鲡等降河性洄游鱼类,指出工程建设对其主要影响。
13.说明工程建设对流水性鱼类的影响。
14.简要说明库区蓄水后可能存在的水环境问题(或水环境风险)。
某公司拟新建1.0×106t/a焦化项目(含1.0×108t/a洗煤)。该项目洗煤采用重力分选(产品为精煤、中煤、矸石),煤泥浮选,尾煤压滤回收工艺。焦化备煤采用先配煤后粉碎工艺,配煤含硫0.6%。炼焦采用炭化室高7.63m,1×60孔顶装煤焦炉。年产焦炭9.5×105t(干),吨焦耗煤1.33t,煤气产率320m3/a(煤),焦炭含硫0.56%。采用干法熄焦,同时配置备用湿熄焦系统。配套建设一套20MW凝汽式气轮余热发电机组。
焦化生产工艺如图所示,焦化废水采用A2/O2工艺。脱硫工序可将煤气中的硫化氢脱至200mg/m3。经洗脱苯工序产粗苯1.3×108t/a。设粗苯储罐2座,储存量2×684t。[2010年真题]

根据上述资料,回答下列问题。
1.给出本项目洗煤废水和固体废物的处理处置要求。
2.列出本项目产生的危险废物。
3.给出本炼焦炉的大气特征污染物。
4.计算进入洗脱苯工序煤气中的硫含量(t/a)。
5.给出本项目焦化生产涉及的风险物质。
某制药企业位于工业园区,在工业园区建设初期入园,占地面积3hm2。截至2012年工业园区已完成规划用地开发的80%。该企业拟在现有厂区新建两个车间,生产A、B、C三种化学原料药产品。一车间独立生产A产品,二车间生产B、C两种产品,B产品和C产品共用一套设备轮换生产。A、B、C三种产品生产过程中产生的工艺废气主要污染物有甲苯、醋酸、三乙胺,拟在相应的废气生产节点将废气回收预处理后混合送入RTO(热力燃烧)装置处理,处理后尾气经15m高的排气筒排放。A、B、C三种产品工艺废气预处理后的主要污染物最大速率见表2-2。RTO装置的设计处理效率为95%。
该企业现有生产废水可生化性良好,污水处理站采用混凝沉淀+好氧处理工艺,废水处理能力为100t/d,现状实际处理废水量50t/d,各项出水水质指标达标。扩建项目废水量40t/d,废水BOD5/COD值小于0.10。拟定的扩建项目污水处理方案是依托现有污水处理站处理全部废水。[2013年真题]

根据上述资料,回答下列问题。
1.确定本项目大气特征污染因子。
2.给出甲苯最大排放速率。
3.指出废气热力燃烧产生的主要二次污染物,提出对策建议。
4.根据水质、水量情况,给出一种适宜的污水处理方案建议,说明理由。
5.为评价扩建项目废气排放的影响,现场调查应了解哪些信息?
某南方城市拟建设危险废物安全处置中心,用来处置该市每年需填埋处理的约4×104m3危险废物。其主要建设内容包括:
(1)危险废物收运系统,公用工程系统。
(2)危险废物稳定化、固化车间,包括水泥固化、药剂稳定、中和预处理、脱水预处理设施等。
(3)安全填埋场,总容积86×104m3,服务年限20年。包括土方、边坡工程、拦渣坝、防渗系统、防排洪系统、场区道路、渗滤液收排系统、地下水监测井等。
(4)污水处理车间,包括渗滤液处理装置,一般生产废水和生活污水处理装置。
建设项目所在地区为低山丘陵地带,地层主要为第四系覆盖层和下卧花岗岩。全年降水丰沛,日照充足,夏季炎热、冬季一般较温暖,地表植被覆盖率高。
建设单位经踏勘、调查,提出两个拟选安全埋场场址备选。对两个备选场址的初步调查情况如图所示。[2005年真题]
拟选场址初步调查情况

根据上述资料,回答下列问题。
1.根据表6-6给出的拟选场址初步调查情况,应选用哪个场址?请简述理由。
2.为进一步论证选址的合理性,还必须调查哪些基本情况?
3.简述除厂址比选论证外,该项目工程分析中应关注的重点问题。
4.项目建设期、运行期可能造成哪些主要环境问题?
5.安全填埋场服务期满并封场后,应采取哪些环境管理措施?
某工业园区位于西南某中等城市以南4km处近郊工业园区规划范围内,工业园区目前尚无热电厂,现有的用热企业11家均采用自备锅炉供热,共设自备锅炉20台,目前锅炉总容量为93t/h,烟尘排放量333t/a、SO2排放量1650t/a、炉渣排放量6万t/a。
该园区热电站建设项目已列入经批准的城市供热总体规划,热电站设计规模为130t/h锅炉2台、25MW汽轮发电机组1台,同步建设相应供热规模的热网以及配套的公用工程、输煤系统,同时淘汰现有分散自备锅炉。热电站最大供热能力130t/h,总热效率60%、热电比355%。热电站采用循环流化床锅炉,汽轮机组为抽气凝汽式。厂址位于丘陵地区,属空气质量功能二类区,年主导风向为北风。厂区西隔一条道路与河流A(主要功能为工业、渔业、航运、灌溉,多年平均流速12.6m/s,平均水深3m,河宽3m。)相邻,北接河流B(主要功能为灌溉),东、南两面为规划工业用地,东厂界距最近的村庄A约250m。灰场位于厂区东南侧约1km的干沟内,地下水埋深约1m,灰场西南侧距最近的村庄B约300m。
锅炉年利用小时数为6000h,采用石灰石—石膏湿法脱硫技术,脱硫效率>90%,SO2排放浓度80mg/m3、排放量0.028t/h;采用除尘效率大于99.9%的布袋除尘器,烟尘排放浓度20mg/m3、排放量0.007t/h;采用SCR法脱硝技术,脱硝效率>75%,NOx排放浓度98mg/m3、排放量0.035t/h。烟囱高120m,距厂界最近距离80m。经预测,SO2最大地面浓度为15.11μg/m3,SO2地面浓度均小于标准限值的10%;PM10最大地面浓度为3.78μg/m3,PM10地面浓度均小于标准限值的10%;NO2最大地面浓度为18.536μg/m3。厂区采用直流供水系统,取水自西侧河流A(河流B为备用水源),排水入西侧河流A;直流循环水(温排水)排放量约5930m3/d,经预测,温排水造成河流A周平均最大温升为2.2℃;一般废水排放量为449m3/d,处理达标后由厂内总排口排入西侧河流A。项目采用灰渣分除、干出灰方式,预计灰渣产生量约78120t/a,其中渣量35160t/a,灰量42960t/a,目前已与建材、砖瓦厂签订灰渣综合利用协议,协议利用率100%,经分析,该项目灰渣属Ⅱ类一般工业固体废物。
根据上述资料,回答下列问题。
1.该项目厂区和灰场选址从环保角度看是否合理?请说明理由。
2.判定该项目大气、地面水评价等级,并给出判定依据。
3.从已给资料看,该项目明显不能满足达标排放要求的是哪一点?
4.该项目大气总量控制是否满足要求?