当前位置:首页建筑工程注册结构工程师结构专业考试一级->各层的地震剪力V、墙体正应力σ0见表4-5。验算④轴墙体截面

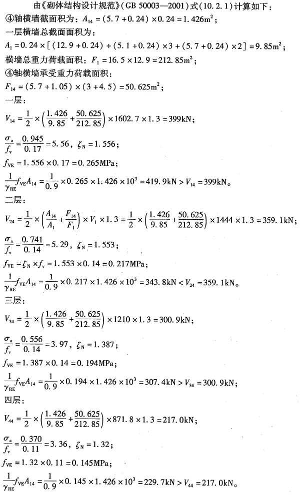
各层的地震剪力V、墙体正应力σ0见表4-5。验算④轴墙体截面抗震承载力哪一层不满足要求 ( )

  • A.四层
  • B.三层
  • C.二层
  • D.一层
答案: C
本题解析:

结构专业考试二级,点睛提分卷,2022年二级注册结构工程师《专业考试》点睛提分卷1

更新时间:2022-01-17 08:03
纠错

你可能感兴趣的试题

单选题

结构专业考试二级,押题密卷,2022年二级注册结构工程师《专业考试》押题密卷2

  • A.99
  • B.83
  • C.92
  • D.76
查看答案
单选题

结构专业考试二级,押题密卷,2022年二级注册结构工程师《专业考试》押题密卷1

  • A.156、71
  • B.249、7
  • C.216、7
  • D.203、1
查看答案
单选题

结构专业考试二级,押题密卷,2022年二级注册结构工程师《专业考试》押题密卷1

  • A.9<24
  • B.9<18
  • C.8、4<24
  • D.7、1<8
查看答案
单选题

结构专业考试二级,模拟考试,2022年二级注册结构工程师《专业考试》模拟试卷4

  • A.99
  • B.83
  • C.92
  • D.76
查看答案
单选题

结构专业考试二级,模拟考试,2022年二级注册结构工程师《专业考试》模拟试卷3

  • A.4、89
  • B.6、22
  • C.7、94
  • D.10、09
查看答案
单选题

结构专业考试二级,模拟考试,2022年二级注册结构工程师《专业考试》模拟试卷3

  • A.156、71
  • B.249、7
  • C.216、7
  • D.203、1
查看答案
单选题

结构专业考试二级,模拟考试,2022年二级注册结构工程师《专业考试》模拟试卷2

  • A.1、0,8、8
  • B.1、0,10
  • C.1、25,10
  • D.1、0,7、2
查看答案
单选题

结构专业考试二级,模拟考试,2022年二级注册结构工程师《专业考试》模拟试卷2

  • A.10、5
  • B.12、0
  • C.13、0
  • D.14、0
查看答案
单选题

结构专业考试二级,模拟考试,2022年二级注册结构工程师《专业考试》模拟试卷1

  • A.9<24
  • B.9<18
  • C.8、4<24
  • D.7、1<8
查看答案
单选题

结构专业考试二级,点睛提分卷,2022年二级注册结构工程师《专业考试》点睛提分卷5

结构专业考试二级,点睛提分卷,2022年二级注册结构工程师《专业考试》点睛提分卷5

  • A.176.8
  • B.198.8
  • C.206.8
  • D.212.3
查看答案