一新疆落叶松(TC13A)方木压弯构件(干材),设计使用年限为50年,截面尺寸为150mm×150mm,长度l=2500mm。两端铰接,承受压力设计值(轴心)N=50kN,最大初始弯矩设计值Mo=4.0kN·m。[2011年真题]
2.试问,考虑轴压力和弯矩共同作用下的构件折减系数ψm与下列何项数值最为接近?( )
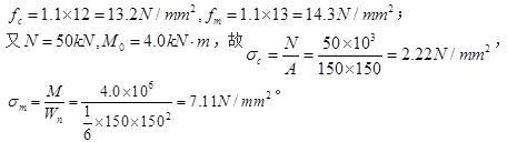
根据《木结构设计规范》(GB 50005—2003)(2005年版)第4.2.3条第2款及表4.2.1-3确定木材的抗弯强度和抗压强度。由于是干材且截面尺寸≥150mm,故:

根据《木结构设计规范》(GB 50005—2003)(2005年版)第5.3.2条第2款规定,构件初始偏心距e0=0,故k=0,则:

故考虑压力和弯矩共同作用的构件折减系数为:

由此可知,A项数值最为接近。










