钢筋混凝土简支矩形截面梁尺寸为250mm×500mm,混凝土强度等级为C30,梁受拉区配置3Φ20的钢筋(As=942mm2),混凝土保护层c=25mm,承受均布荷载,梁的计算跨度l0=6m。
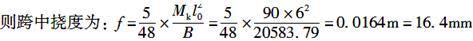
若已知梁的短期效应刚度Bs=29732.14kN·m2,按荷载效应的标准组合计算的跨中弯矩值Mk=90kN·m,按荷载效应的准永久组合计算的跨中弯矩值Mq=50kN·m,梁受压区配有218的钢筋,则跨中挠度最接近于( )mm。
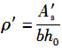
根据《混凝土结构设计规范》(GB 50010—2010)第7.2.3条规定,钢筋混凝土受弯构件的配筋率为:

纵向受拉钢筋配筋率为:

根据第7.2.5条第1款规定,荷载长期效应组合对挠度增大的影响系数为:

根据第7.2.2条式(7.2.2-1)计算,受弯构件的长期刚度为:


由此可知,C项数值最为接近。










