某24层高层住宅楼,首层层高3.25m,结构总高度66.80m,采用钢筋混凝土全现浇剪力墙结构。底层某矩形剪力墙混凝土强度等级为C35,墙体端部约束边缘构件纵向受力钢筋采用HRB400级,墙体分布钢筋和端部约束边缘构件箍筋采用HRB335级。
4.题(3)中,若b×h=220mm×3000mm,h0=2800mm,控制内力设计值N=330.1kN,M=865.8kN·m,V=227.2kN,则此墙肢的水平分布钢筋可选用( )。
根据《混凝土结构设计规范》(GB 50010—2010)第11.7.2条第1款第2项规定,首层墙肢(底部加强区)的剪力设计值调整为:Vw=ηvV=1.4×227.2=318.1kN;
则墙肢截面的剪跨比为:λ=M/(Vh0)=865.8×106/(227.2×103×2800)=1.361<1.5,取λ=1.5;
由于0.2fcbh=0.2×16.7×220×3000=2204kN>N=330.1kN,取Nw=330.1kN;
根据第11.1.6条表11.1.6可知,抗震调整系数γRE=0.85;
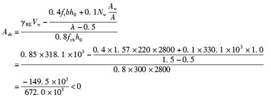
根据第11.7.4条式(11.7.4)计算,墙肢的水平分布钢筋面积为:

这说明当有地震作用组合时,墙肢仅需按构造要求配置水平分布钢筋;
墙肢实际配置水平分布钢筋(双排),配筋率ρsh=0.357%。










