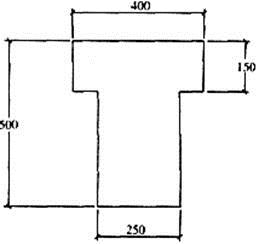
钢筋混凝土T形截面构件如图所示,b=250mm,h=500mm,b f′=400mm,hf′=150mm,混凝土强度等级为C30,纵筋采用HRB335钢筋,箍筋采用HPB300钢筋。受扭纵筋与箍筋的配筋强度比值为ζ=1.2,Acor=90000mm2。

3.设构件承受剪力设计值V=80kN,箍筋间距s=100mm,受扭纵筋与箍筋的配筋强度比值为ζ=1.2,腹板的塑性抵抗矩Wtw和所受扭矩Tw的比值为0.98,已知构件须按剪扭构件计算,则腹板的抗剪箍筋的计算面积Asv最接近于( )mm2。
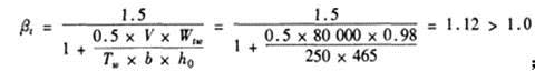
对于腹板,考虑其承受扭矩和全部剪力,按剪扭构件考虑,根据《混凝土结构设计规范》(GB 50010—2010)第6.4.8条式(6.4.8-2)计算,剪扭构件混凝土受扭承载力降低系数βt为:

则取βt=1.0。
根据第6.4.8条公式(6.4.8-2)计算,剪扭构件的受剪承载力为:
V≤(1.5-βt)0.7ftbh0+1.25fyvAsvh0/s;
故抗剪箍筋面积为:

=[80000-(1.5-1.0)×0.7×1.43×250×465]×100/1.25/270/465
=14mm2。
由此可知,D项数值最为接近。










