一无吊车工业厂房,采用刚性屋盖,跨度为15m,其铰接排架结构计算简图及所承受的荷载设计值如图所示。柱的截面尺寸为400mm×400mm,as=40mm,混凝土强度等级为C30,结构安全等级为二级,纵向受力钢筋为HRB335。

3.假定柱的轴向压力设计值N=680kN,柱的初始偏心距ei=314mm,偏心距增大系数η=1.18。试问如按对称配筋进行设计,则受压区纵筋的计算面积As′最接近于( )mm2。
根据《混凝土结构设计规范》(GB 50010—2010)第6.2.17条式(6.2.17-3)计算,轴向压力作用点至纵向受拉钢筋的合力点的距离为:

根据第6.2.17条式(6.2.17-1)计算,正截面受压承载力应满足:N≤α1fcbx+fy′As′-σsAs,当采用对称配筋时,可令fy′×As′=σs×As,则可计算得受压区高度为:

故属于大偏心受压构件;
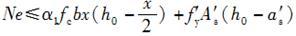
当x≥2as′时,根据第6.2.17条式(6.2.17-2)计算,

可得受压区纵筋面积为:

由此可知,A项数值最为接近。










