当前位置:首页建筑工程注册结构工程师结构专业考试一级->某钢筋混凝土柱的截面尺寸300mm×500mm,柱计算长度l

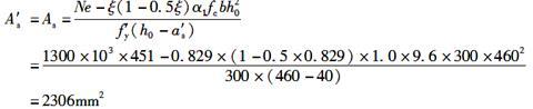
某钢筋混凝土柱的截面尺寸300mm×500mm,柱计算长度l0=6m,轴向力设计值N=1300kN,弯矩设计值M=253kN·m。采用混凝土强度等级为C20,纵向受力钢筋采用HRB335级。

2.若已知ξ=0.829,对称配筋,则As应为(  )mm2。

  • A.1972
  • B.2056
  • C.2306
  • D.2496
答案: C
本题解析:

根据《混凝土结构设计规范》(GB 50010—2010)第6.2.17条式(6.2.17-7)计算,矩形截面对称配筋的钢筋混凝土小偏心受压构件的纵向钢筋截面面积为:

结构专业考试二级,章节练习,基础复习,基础知识

更新时间:2021-12-29 11:58
纠错

你可能感兴趣的试题

单选题

结构专业考试二级,押题密卷,2022年二级注册结构工程师《专业考试》押题密卷2

  • A.99
  • B.83
  • C.92
  • D.76
查看答案
单选题

结构专业考试二级,押题密卷,2022年二级注册结构工程师《专业考试》押题密卷1

  • A.156、71
  • B.249、7
  • C.216、7
  • D.203、1
查看答案
单选题

结构专业考试二级,押题密卷,2022年二级注册结构工程师《专业考试》押题密卷1

  • A.9<24
  • B.9<18
  • C.8、4<24
  • D.7、1<8
查看答案
单选题

结构专业考试二级,模拟考试,2022年二级注册结构工程师《专业考试》模拟试卷4

  • A.99
  • B.83
  • C.92
  • D.76
查看答案
单选题

结构专业考试二级,模拟考试,2022年二级注册结构工程师《专业考试》模拟试卷3

  • A.4、89
  • B.6、22
  • C.7、94
  • D.10、09
查看答案
单选题

结构专业考试二级,模拟考试,2022年二级注册结构工程师《专业考试》模拟试卷3

  • A.156、71
  • B.249、7
  • C.216、7
  • D.203、1
查看答案
单选题

结构专业考试二级,模拟考试,2022年二级注册结构工程师《专业考试》模拟试卷2

  • A.1、0,8、8
  • B.1、0,10
  • C.1、25,10
  • D.1、0,7、2
查看答案
单选题

结构专业考试二级,模拟考试,2022年二级注册结构工程师《专业考试》模拟试卷2

  • A.10、5
  • B.12、0
  • C.13、0
  • D.14、0
查看答案
单选题

结构专业考试二级,模拟考试,2022年二级注册结构工程师《专业考试》模拟试卷1

  • A.9<24
  • B.9<18
  • C.8、4<24
  • D.7、1<8
查看答案
单选题

结构专业考试二级,点睛提分卷,2022年二级注册结构工程师《专业考试》点睛提分卷5

结构专业考试二级,点睛提分卷,2022年二级注册结构工程师《专业考试》点睛提分卷5

  • A.176.8
  • B.198.8
  • C.206.8
  • D.212.3
查看答案