某独立柱基的基底尺寸为2600mm×5200mm,柱底由荷载标准值组合所得的内力值为:F1=2000kN,F2=200kN,M=1000kN·m,V=200kN;柱基自重和覆土标准值G=486.7kN。基础埋深和工程地质剖面如图所示。

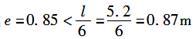
2.偏心距为e=0.85时的基底压力最大值最接近于( )kN/m2。
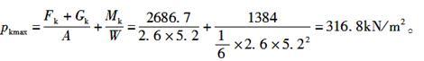
根据《建筑地基基础设计规范》(GB 50007—2011)第5.2.2条规定,当偏心荷载作用时,基底压力最大值的计算公式为:

由于偏心距为:

则代入数据可得基底边缘最大压力值为:

由此可知,A项数值最为接近。










