某建筑物的地基设计等级为乙级,独立柱基的尺寸及桩的布置见图。荷载效应的基本组合为:由上部结构传至基础顶面的竖向荷载设计值Fk=8000kN,力矩设计值Mk=1200kN·m;基础采用泥浆护壁钻孔灌注桩,桩径d=600mm,承台埋置深度3m,各土层的桩基础设计参数见表。.


3.由竖向荷载引起的3号桩的竖向力最接近于( )kN。
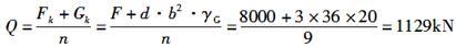
根据《建筑桩基技术规范》(JGJ 94—2008)第5.1.1条第1款规定,荷载施加于基础的轴心,各桩所分担的竖向力相等。单桩承担的轴心竖向力由下式计算:

由此可知,D项数值最为接近。










