某钢筋混凝土条形基础底面宽度为b,埋置深度为1.2m。取条形基础长度1m计算,其上部结构传至基础顶面处的标准组合值:竖向力Fk,弯矩Mk。已知计算Gk(基础自重和基础上土重)用的加权平均容重γG=20kN/m3,基础及工程地质剖面如图所示。

6.假定Fk、Mk、b和x值同题(5),并已计算出相应于荷载效应标准组合时,基础底面处的平均压力值pk=160.36kPa。已知:黏性土层①的压缩模量Es1=6MPa,淤泥质土层②的压缩模量Es2=2MPa,则淤泥质土层②顶面处的附加压力值pz最接近于( )kPa。
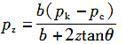
根据《建筑地基基础设计规范》(GB 50007—2011)第5.2.7条规定,对于条形基础,软弱下卧层顶面处的附加压力值可按下式计算:

式中,(pk-pc)为基底附加应力,经计算为:pk-pc=160.36-(17×0.8+19×0.4)=139.16kPa;θ为地基压力扩散角,由Es1/Es2=6.0/2=3,z/b=2.6/2.2=1.182,查表5.2.7可得,θ=23°;则淤泥质土层②顶面处的附加压力值pz为:

由此可知,D项数值最为接近。










